KEGG   COMPOUND: C16689
Entry
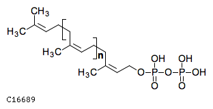
C16689                      Compound                               
Name
poly-cis-Polyprenyl diphosphate longer by one C5 unit
Formula
C11H22O7P2(C4H6)n
Structure
Reaction
Enzyme
Other DBs
PubChem: 51091011
ChEBI: 16818
LinkDB
KCF data

ATOM        24
            1   C1a C    21.0000  -18.5500
            2   C2c C    21.0000  -19.9500
            3   C1a C    19.8100  -20.6500
            4   C2b C    22.1900  -20.6500
            5   C1b C    23.4500  -19.9500
            6   C1b C    24.6400  -20.6500
            7   C2c C    24.6400  -22.0500
            8   C1a C    23.4500  -22.7500
            9   C2b C    25.8300  -22.7500
            10  C1b C    27.0900  -22.0500
            11  C1b C    28.2800  -22.7500
            12  C2c C    28.2800  -24.1500
            13  C1a C    27.0900  -24.8500
            14  C2b C    29.4700  -24.8500
            15  C1b C    30.7300  -24.1500
            16  O2b O    31.9200  -24.8500
            17  P1b P    33.3200  -24.8500
            18  O1c O    33.3200  -26.2500
            19  O2c O    34.7200  -24.8500
            20  P1b P    36.1200  -24.8500
            21  O1c O    36.1200  -26.2500
            22  O1c O    37.5200  -24.8500
            23  O1c O    36.1200  -23.4500
            24  O1c O    33.3200  -23.4500
BOND        23
            1     1   2 1
            2     2   3 1
            3     2   4 2
            4     4   5 1
            5     5   6 1
            6     6   7 1
            7     7   8 1
            8     7   9 2
            9     9  10 1
            10   10  11 1
            11   11  12 1
            12   12  13 1
            13   12  14 2
            14   14  15 1
            15   15  16 1
            16   16  17 1
            17   17  18 2
            18   17  19 1
            19   19  20 1
            20   20  21 2
            21   20  22 1
            22   20  23 1
            23   17  24 1
BRACKET     1    24.2200  -21.4900   24.2200  -19.3900
            1    27.0200  -21.2800   27.0200  -23.4500
            1  n
 ORIGINAL  1    6   7   8   9
 REPEAT    1

» Japanese version

DBGET integrated database retrieval system