KEGG   COMPOUND: C16762
Entry
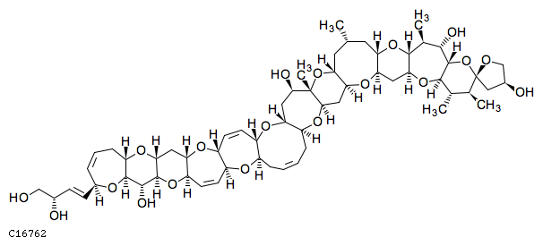
C16762                      Compound                               
Name
Ciguatoxin I;
CTX
Formula
C60H86O19
Exact mass
1110.5763
Mol weight
1111.31
Structure
Brite
Natural toxins [BR:br08009]
 Marine biotoxins
  Ciguatera fish poisoning; CFP
   Cyclic polyethers
    C16762  Ciguatoxin I
Other DBs
CAS: 11050-21-8
PubChem: 96023286
ChEBI: 36467
NIKKAJI: J1.866.175F
LinkDB
KCF data

ATOM        79
            1   C1y C    33.3720  -10.5850
            2   C1x C    34.7731  -10.5850
            3   C1y C    35.7658  -11.5705
            4   C1y C    35.7658  -12.9716
            5   O2x O    34.7731  -13.9643
            6   C1x C    32.3863  -11.5705
            7   C1x C    36.9782  -13.6716
            8   C1y C    38.1907  -12.9716
            9   O2x O    36.9782  -10.8705
            10  C2x C    23.7889  -17.9246
            11  C2x C    25.1011  -17.4938
            12  O2x O    25.3867  -20.5810
            13  O2x O    21.9952  -18.8225
            14  C1y C    23.3068  -19.1678
            15  C1y C    23.9281  -20.4102
            16  C2x C    23.3068  -21.6528
            17  C2x C    21.9952  -21.9289
            18  C1y C    26.5080  -19.6845
            19  C1y C    26.3447  -18.3217
            20  O2x O    26.9960  -17.2154
            21  C2x C    29.5673  -20.0663
            22  C2x C    13.0910  -20.5068
            23  C2x C    13.6824  -19.2637
            24  C1x C    15.0253  -18.9414
            25  C1y C    16.1055  -19.7856
            26  C1y C    13.7075  -21.7520
            27  C1y C    16.1290  -21.1686
            28  O2x O    15.0578  -22.0417
            29  C1y C    17.3361  -21.8386
            30  C1y C    18.5199  -21.1282
            31  C1y C    18.4964  -19.7452
            32  O2x O    17.2894  -19.0752
            33  C2b C    12.8758  -22.8206
            34  C2b C    11.6876  -22.1360
            35  C1c C    10.4919  -22.8263
            36  C1b C     9.2963  -22.1360
            37  O1a O     8.1006  -22.8263
            38  O1a O    10.4919  -24.2066
            39  O2x O    19.7271  -21.7980
            40  C1y C    20.9108  -21.0876
            41  C1y C    20.8874  -19.7046
            42  C1x C    19.6802  -19.0347
            43  O1a O    17.3592  -23.2404
            44  C1x C    27.3747  -20.3873
            45  C2x C    28.4375  -20.5835
            46  C1x C    30.2030  -18.9177
            47  C1x C    28.2606  -15.5036
            48  C1y C    29.1402  -14.4196
            49  C1z C    30.5408  -14.4228
            50  C1y C    31.4038  -15.5127
            51  C1y C    28.5708  -16.8780
            52  O2x O    31.0965  -16.8812
            53  C1y C    29.8323  -17.4860
            54  C1x C    32.7889  -15.3088
            55  C1y C    33.3049  -14.0074
            56  O2x O    31.0568  -13.1214
            57  C1y C    32.3863  -12.9716
            58  C1y C    38.2300  -11.5347
            59  C1y C    39.3267  -10.6710
            60  C1y C    40.6921  -10.9824
            61  C1y C    41.2940  -12.2356
            62  C1y C    40.6930  -13.5029
            63  O2x O    39.3267  -13.8145
            64  C1y C    41.4885  -14.6549
            65  C1y C    42.8840  -14.5419
            66  C1z C    43.4850  -13.2747
            67  O2x O    42.6894  -12.1227
            68  C1a C    43.9035  -15.5051
            69  C1x C    44.4027  -14.3441
            70  C1y C    45.7033  -13.8017
            71  C1x C    45.5895  -12.3972
            72  O2x O    44.2184  -12.0714
            73  O1a O    46.8983  -14.5302
            74  C1a C    40.9024  -15.8913
            75  C1a C    39.0128   -9.2788
            76  O1a O    28.5361  -13.1476
            77  C1a C    29.8408  -13.2104
            78  O1a O    41.5530   -9.9036
            79  C1a C    32.8336   -9.2853
BOND        91
            1     1   2 1
            2     2   3 1
            3     4   5 1
            4     6   1 1
            5     4   7 1
            6     7   8 1
            7     3   9 1
            8     3   4 1
            9    10  11 2
            10   15  16 1
            11   13  14 1
            12   16  17 2
            13   10  14 1
            14   15  12 1
            15   14  15 1
            16   20  19 1
            17   11  19 1
            18   18  12 1
            19   19  18 1
            20   22  26 1
            21   25  27 1
            22   23  24 1
            23   26  28 1
            24   22  23 2
            25   29  30 1
            26   31  32 1
            27   26  33 1 #Up
            28   33  34 2
            29   34  35 1
            30   35  36 1
            31   36  37 1
            32   35  38 1 #Down
            33   30  39 1
            34   39  40 1
            35   41  42 1
            36   31  42 1
            37   29  43 1 #Down
            38   31  30 1
            39   28  27 1
            40   29  27 1
            41   24  25 1
            42   32  25 1
            43   13  41 1
            44   17  40 1
            45   41  40 1
            46   18  44 1
            47   44  45 1
            48   45  21 2
            49   46  21 1
            50   49  50 1
            51   47  51 1
            52   50  52 1
            53   48  49 1
            54   51  53 1
            55   47  48 1
            56   52  53 1
            57   20  51 1
            58   53  46 1
            59   50  54 1
            60   54  55 1
            61   49  56 1
            62   56  57 1
            63    6  57 1
            64   57  55 1
            65   55   5 1
            66   60  61 1
            67   61  62 1
            68   59  60 1
            69   58  59 1
            70   62  63 1
            71    9  58 1
            72   58   8 1
            73    8  63 1
            74   62  64 1
            75   64  65 1
            76   65  66 1
            77   66  67 1
            78   61  67 1
            79   65  68 1 #Up
            80   66  69 1
            81   69  70 1
            82   70  71 1
            83   71  72 1
            84   66  72 1 #Up
            85   70  73 1 #Up
            86   64  74 1 #Down
            87   59  75 1 #Up
            88   48  76 1 #Up
            89   49  77 1 #Up
            90   60  78 1 #Down
            91    1  79 1 #Down

» Japanese version

DBGET integrated database retrieval system