KEGG   COMPOUND: C16794
Entry
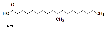
C16794                      Compound                               
Name
Tuberculostearic acid;
10-Methyloctadecanoic acid
Formula
C19H38O2
Exact mass
298.2872
Mol weight
298.50
Structure
Brite
Lipids [BR:br08002]
 FA  Fatty acyls
  FA01 Fatty Acids and Conjugates
   FA0102 Branched fatty acids
    C16794  10-Methyloctadecanoic acid
Other DBs
CAS: 542-47-2
PubChem: 96023318
LIPIDMAPS: LMFA01020396
NIKKAJI: J108.049K
LinkDB
KCF data

ATOM        21
            1   C1a C    37.9981  -16.3531
            2   C1b C    36.7837  -15.6537
            3   C1b C    35.5707  -16.3556
            4   C1b C    34.3564  -15.6561
            5   C1b C    33.1435  -16.3580
            6   C1b C    31.9291  -15.6585
            7   C1b C    30.7162  -16.3604
            8   C1b C    29.5020  -15.6609
            9   C1c C    28.2889  -16.3628
            10  C1b C    27.0746  -15.6633
            11  C1b C    25.8616  -16.3652
            12  C1b C    24.6473  -15.6657
            13  C1b C    23.4344  -16.3676
            14  C1b C    22.2200  -15.6681
            15  C1b C    21.0071  -16.3701
            16  C1b C    19.7928  -15.6706
            17  C1b C    18.5798  -16.3725
            18  C6a C    17.3655  -15.6730
            19  O6a O    16.1763  -16.3615
            20  O6a O    17.3640  -14.2720
            21  C1a C    28.2903  -17.7639
BOND        20
            1     1   2 1
            2     2   3 1
            3     3   4 1
            4     4   5 1
            5     5   6 1
            6     6   7 1
            7     7   8 1
            8     8   9 1
            9     9  10 1
            10   10  11 1
            11   11  12 1
            12   12  13 1
            13   13  14 1
            14   14  15 1
            15   15  16 1
            16   16  17 1
            17   17  18 1
            18   18  19 1
            19   18  20 2
            20    9  21 1

» Japanese version

DBGET integrated database retrieval system