KEGG   COMPOUND: C17042
Entry
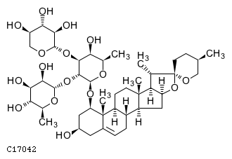
C17042                      Compound                               
Name
Ophiopogonin D
Formula
C44H70O16
Exact mass
854.4664
Mol weight
855.02
Structure
Brite
Glycosides [BR:br08021]
 O-glycosides
  Saponins
   Steroid
    C17042  Ophiopogonin D
Other DBs
PubChem: 96023520
NIKKAJI: J16.432A
LinkDB
KCF data

ATOM        60
            1   C1x C    23.8700  -29.1200
            2   C1y C    23.8700  -30.4500
            3   C1x C    24.9900  -31.1500
            4   C2y C    26.2500  -30.4500
            5   C1z C    26.2500  -29.1200
            6   C1y C    24.9900  -28.4200
            7   C2x C    27.4400  -31.1500
            8   C1x C    28.5600  -30.4500
            9   C1y C    28.5600  -29.1200
            10  C1y C    27.4400  -28.4200
            11  C1y C    29.8200  -28.4200
            12  C1z C    29.8200  -27.0200
            13  C1x C    28.5600  -26.3900
            14  C1x C    27.4400  -27.0200
            15  C1x C    32.1300  -28.4200
            16  C1y C    32.1300  -27.0200
            17  C1y C    31.0100  -26.3900
            18  O2x O    33.3900  -26.3900
            19  C1z C    33.3900  -24.9900
            20  C1y C    31.0100  -24.9900
            21  O2x O    34.5100  -25.6900
            22  C1x C    35.7000  -24.9900
            23  C1y C    35.7000  -23.5900
            24  C1x C    34.5100  -22.9600
            25  C1x C    33.3900  -23.5900
            26  C1a C    36.8900  -22.9600
            27  C1a C    30.0300  -24.0100
            28  C1a C    29.8200  -25.6900
            29  C1a C    26.2500  -27.7200
            30  O1a O    22.6800  -31.1500
            31  O2a O    24.9900  -27.0200
            32  C1y C    24.9900  -25.7600
            33  C1y C    23.8700  -23.6600
            34  C1y C    23.8700  -25.0600
            35  O2x O    26.2500  -25.0600
            36  C1y C    26.2500  -23.6600
            37  C1y C    24.9900  -23.0300
            38  C1a C    27.4400  -23.0300
            39  O1a O    24.9900  -21.6300
            40  O2a O    22.6100  -22.9600
            41  O2a O    22.6800  -25.7600
            42  C1y C    21.4200  -26.3900
            43  C1y C    19.0400  -26.3900
            44  C1y C    19.0400  -27.7200
            45  C1y C    20.2300  -28.4200
            46  O2x O    21.4200  -27.7200
            47  C1y C    20.2300  -25.6900
            48  C1a C    20.2300  -29.8200
            49  O1a O    17.8500  -28.4200
            50  O1a O    17.8500  -25.6900
            51  O1a O    20.2300  -24.2900
            52  C1y C    21.4021  -22.2522
            53  C1y C    21.4111  -20.8600
            54  C1y C    20.2033  -20.1522
            55  C1y C    18.9863  -20.8443
            56  C1x C    18.9773  -22.2365
            57  O2x O    20.1851  -22.9443
            58  O1a O    17.7734  -20.1333
            59  O1a O    20.2125  -18.7601
            60  O1a O    22.6348  -20.1641
BOND        68
            1     1   2 1
            2     2   3 1
            3     3   4 1
            4     4   5 1
            5     5   6 1
            6     1   6 1
            7     4   7 2
            8     7   8 1
            9     8   9 1
            10    9  10 1
            11    5  10 1
            12    9  11 1
            13   11  12 1
            14   12  13 1
            15   13  14 1
            16   10  14 1
            17   11  15 1
            18   15  16 1
            19   16  17 1
            20   12  17 1
            21   16  18 1
            22   18  19 1
            23   19  20 1
            24   17  20 1
            25   19  21 1 #Down
            26   21  22 1
            27   22  23 1
            28   23  24 1
            29   24  25 1
            30   19  25 1 #Up
            31   23  26 1 #Up
            32   20  27 1 #Down
            33   12  28 1 #Up
            34    5  29 1 #Up
            35    2  30 1 #Up
            36    6  31 1 #Up
            37   32  31 1 #Up
            38   33  34 1
            39   34  32 1
            40   32  35 1
            41   35  36 1
            42   36  37 1
            43   33  37 1
            44   36  38 1 #Up
            45   37  39 1 #Up
            46   33  40 1 #Up
            47   34  41 1 #Down
            48   42  41 1 #Down
            49   43  44 1
            50   44  45 1
            51   45  46 1
            52   46  42 1
            53   42  47 1
            54   43  47 1
            55   45  48 1 #Up
            56   44  49 1 #Down
            57   43  50 1 #Up
            58   47  51 1 #Up
            59   52  40 1 #Down
            60   52  53 1
            61   53  54 1
            62   54  55 1
            63   55  56 1
            64   56  57 1
            65   52  57 1
            66   55  58 1 #Up
            67   54  59 1 #Down
            68   53  60 1 #Up

» Japanese version

DBGET integrated database retrieval system