| Entry |
|
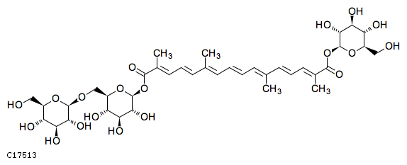
| Name |
trans-Crocetin (beta-D-glucosyl) (beta-D-gentibiosyl) ester;
beta-D-Gentiobiosyl beta-D-glucosyl crocetin
|
| Formula |
C38H54O19
|
| Exact mass |
814.3259
|
| Mol weight |
814.82
|
| Structure |

|
| Reaction |
|
| Pathway |
| map00999 | Biosynthesis of various plant secondary metabolites |
| map01110 | Biosynthesis of secondary metabolites |
|
| Module |
| M00900 | Crocin biosynthesis, crocetin => crocin |
|
| Enzyme |
|
| Brite |
Phytochemical compounds [BR:br08003]
Terpenoids
Carotenoids and apocarotenoids
Apocarotenoids
C17513 beta-D-Gentiobiosyl beta-D-glucosyl crocetin
|
| Other DBs |
|
| LinkDB |
|
| KCF data |
ATOM 57
1 C2b C 45.8936 -23.1077
2 C2c C 47.0769 -23.8037
3 C2b C 44.7103 -23.8037
4 C7a C 48.3299 -23.1077
5 C1a C 47.0769 -25.1959
6 C2b C 43.5270 -23.1077
7 O7a O 48.3299 -21.7155
8 O6a O 49.5132 -23.8037
9 C2c C 42.2740 -23.8037
10 C2b C 41.0907 -23.1077
11 C1a C 42.2740 -25.1959
12 C2b C 39.9074 -23.8037
13 C2b C 38.6545 -23.1077
14 C2b C 37.4711 -23.8037
15 C2c C 36.2878 -23.1077
16 C2b C 35.0349 -23.8037
17 C1a C 36.2878 -21.7155
18 C2b C 33.8515 -23.1077
19 C2b C 32.6682 -23.8037
20 C2c C 31.4849 -23.1077
21 C7a C 30.2320 -23.8037
22 C1a C 31.4849 -21.7155
23 O7a O 30.2320 -25.1959
24 O6a O 29.0486 -23.1077
25 C1y C 29.0264 -25.8920
26 O2x O 27.8376 -25.2054
27 C1y C 26.6319 -25.9014
28 C1y C 26.6317 -27.2936
29 C1y C 27.8205 -27.9801
30 C1y C 29.0262 -27.2841
31 O1a O 27.8203 -29.3721
32 C1b C 25.4076 -25.1944
33 O2a O 24.0782 -26.0207
34 C1y C 22.7334 -26.8560
35 O2x O 21.5182 -26.1543
36 C1y C 20.3125 -26.8502
37 C1y C 20.3123 -28.2423
38 C1y C 21.5276 -28.9440
39 C1y C 22.7333 -28.2482
40 C1b C 19.0887 -26.1429
41 O1a O 21.5274 -30.3468
42 O1a O 19.0740 -28.9573
43 O1a O 23.9290 -28.9389
44 O1a O 25.4157 -27.9955
45 O1a O 30.2485 -27.9901
46 O1a O 17.8756 -26.8424
47 C1y C 49.5355 -21.0195
48 O2x O 50.7243 -21.7060
49 C1y C 51.9300 -21.0100
50 C1y C 51.9302 -19.6179
51 C1y C 50.7414 -18.9313
52 C1y C 49.5357 -19.6273
53 O1a O 50.7415 -17.5393
54 C1b C 53.1543 -21.7170
55 O1a O 48.3134 -18.9213
56 O1a O 53.1461 -18.9159
57 O1a O 54.3556 -21.0233
BOND 59
1 1 2 2
2 1 3 1
3 2 4 1
4 2 5 1
5 3 6 2
6 4 7 1
7 4 8 2
8 6 9 1
9 9 10 2
10 9 11 1
11 10 12 1
12 12 13 2
13 13 14 1
14 14 15 2
15 15 16 1
16 15 17 1
17 16 18 2
18 18 19 1
19 19 20 2
20 20 21 1
21 20 22 1
22 21 23 1
23 21 24 2
24 25 23 1 #Up
25 25 26 1
26 26 27 1
27 27 28 1
28 28 29 1
29 29 30 1
30 25 30 1
31 29 31 1 #Up
32 27 32 1 #Up
33 32 33 1
34 34 33 1 #Up
35 34 35 1
36 35 36 1
37 36 37 1
38 37 38 1
39 38 39 1
40 34 39 1
41 36 40 1 #Up
42 38 41 1 #Up
43 37 42 1 #Down
44 39 43 1 #Down
45 28 44 1 #Down
46 30 45 1 #Down
47 40 46 1
48 47 7 1 #Up
49 47 48 1
50 48 49 1
51 49 50 1
52 50 51 1
53 51 52 1
54 47 52 1
55 51 53 1 #Up
56 49 54 1 #Up
57 52 55 1 #Down
58 50 56 1 #Down
59 54 57 1
|