KEGG   COMPOUND: C17544
Entry
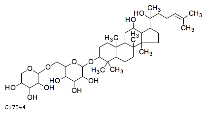
C17544                      Compound                               
Name
Chikusetsusaponin Ia
Formula
C41H70O12
Exact mass
754.4867
Mol weight
754.99
Structure
Brite
Phytochemical compounds [BR:br08003]
 Terpenoids
  Triterpenoids (C30)
   Dammarenes
    C17544  Chikusetsusaponin Ia
Glycosides [BR:br08021]
 O-glycosides
  Saponins
   Steroid
    C17544  Chikusetsusaponin Ia
Other DBs
PubChem: 96023889
NIKKAJI: J40.254K
LinkDB
KCF data

ATOM        53
            1   C1x C    35.1400  -24.1500
            2   C1y C    35.1400  -25.5500
            3   C1z C    36.3300  -26.2500
            4   C1y C    37.5200  -25.5500
            5   C1z C    37.5200  -24.1500
            6   C1x C    36.3300  -23.5200
            7   C1x C    38.7800  -26.2500
            8   C1x C    39.9700  -25.5500
            9   C1z C    39.9700  -24.1500
            10  C1y C    38.7800  -23.5200
            11  C1z C    41.1600  -23.5200
            12  C1y C    41.1600  -22.1200
            13  C1y C    39.9700  -21.4200
            14  C1x C    38.7800  -22.1200
            15  C1x C    43.5400  -23.5200
            16  C1x C    43.5400  -22.1200
            17  C1y C    42.3500  -21.4200
            18  O2a O    33.9500  -26.2500
            19  C1y C    32.7600  -26.9500
            20  O2x O    31.5700  -26.2500
            21  C1y C    30.3800  -26.9500
            22  C1y C    30.3800  -28.3500
            23  C1y C    31.5700  -29.0500
            24  C1y C    32.7600  -28.3500
            25  C1a C    37.5200  -22.8200
            26  O1a O    39.9700  -20.2300
            27  C1a C    39.9700  -23.1000
            28  C1a C    41.1600  -24.8500
            29  C1d C    42.3500  -20.0200
            30  C1b C    43.5400  -19.3200
            31  O1a O    41.1600  -19.3200
            32  C1a C    42.3500  -18.5500
            33  C1b C    44.7300  -20.0200
            34  C2b C    45.9200  -19.3200
            35  C2c C    47.1100  -20.0200
            36  C1a C    48.2300  -19.3200
            37  C1a C    47.1100  -21.4200
            38  O1a O    31.5700  -30.3800
            39  O1a O    33.9500  -28.9800
            40  O1a O    29.1900  -28.9800
            41  C1b C    29.1200  -26.2500
            42  O2a O    27.8600  -27.0200
            43  C1y C    26.4600  -27.9300
            44  O2x O    25.2700  -27.2300
            45  C1x C    24.0800  -27.9300
            46  C1y C    24.0800  -29.2600
            47  C1y C    25.2700  -29.9600
            48  C1y C    26.4600  -29.2600
            49  O1a O    25.2700  -31.3600
            50  O1a O    22.8900  -29.9600
            51  O1a O    27.6500  -29.9600
            52  C1a C    37.0553  -27.3651
            53  C1a C    35.6047  -27.4351
BOND        58
            1     1   2 1
            2     2   3 1
            3     3   4 1
            4     4   5 1
            5     5   6 1
            6     1   6 1
            7     4   7 1
            8     7   8 1
            9     8   9 1
            10    9  10 1
            11    5  10 1
            12    9  11 1
            13   11  12 1
            14   12  13 1
            15   13  14 1
            16   10  14 1
            17   11  15 1
            18   15  16 1
            19   16  17 1
            20   12  17 1
            21    2  18 1
            22   19  18 1
            23   19  20 1
            24   20  21 1
            25   21  22 1
            26   22  23 1
            27   23  24 1
            28   19  24 1
            29    5  25 1
            30   13  26 1
            31    9  27 1
            32   11  28 1
            33   17  29 1
            34   29  30 1
            35   29  31 1
            36   29  32 1
            37   30  33 1
            38   33  34 1
            39   34  35 2
            40   35  36 1
            41   35  37 1
            42   23  38 1
            43   24  39 1
            44   22  40 1
            45   21  41 1
            46   41  42 1
            47   43  42 1
            48   43  44 1
            49   44  45 1
            50   45  46 1
            51   46  47 1
            52   47  48 1
            53   43  48 1
            54   47  49 1
            55   46  50 1
            56   48  51 1
            57    3  52 1
            58    3  53 1

» Japanese version

DBGET integrated database retrieval system