KEGG   COMPOUND: C18030
Entry
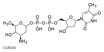
C18030                      Compound                               
Name
dTDP-2,6-dideoxy-D-kanosamine;
dTDP-(3-amino-2,3,6-trideoxy-alpha-D-arabino-hexopyranosyl) ester
Formula
C16H27N3O13P2
Exact mass
531.1019
Mol weight
531.35
Structure
Reaction
Pathway
map00523  Polyketide sugar unit biosynthesis
map01100  Metabolic pathways
map01110  Biosynthesis of secondary metabolites
map01250  Biosynthesis of nucleotide sugars
Module
M00803  dTDP-D-angolosamine biosynthesis
Other DBs
PubChem: 96024250
LinkDB
KCF data

ATOM        34
            1   C1y C    38.2900  -25.0600
            2   N4y N    39.6200  -24.5700
            3   O2x O    37.1700  -24.2200
            4   C1x C    37.8700  -26.3900
            5   C8y C    40.6700  -25.5500
            6   C8x C    39.9000  -23.2400
            7   C1y C    36.0500  -25.0600
            8   C1y C    36.4700  -26.3900
            9   N4x N    42.0700  -25.0600
            10  O5x O    40.3900  -26.8800
            11  C8y C    41.2300  -22.7500
            12  C1b C    34.7200  -24.6400
            13  O1a O    35.6300  -27.5100
            14  C8y C    42.3500  -23.7300
            15  C1a C    41.5100  -21.3500
            16  O2b O    33.6700  -25.5500
            17  O5x O    43.6800  -23.2400
            18  P1b P    32.2700  -25.5500
            19  O2c O    30.8700  -25.5500
            20  O1c O    32.2700  -26.9500
            21  O1c O    32.2700  -24.1500
            22  P1b P    29.4700  -25.5500
            23  O2b O    28.0700  -25.5500
            24  O1c O    29.4700  -26.9500
            25  O1c O    29.4700  -24.1500
            26  C1y C    26.8800  -26.2500
            27  C1x C    26.8800  -27.6500
            28  O2x O    25.6900  -25.5500
            29  C1y C    25.6200  -28.3500
            30  C1y C    24.4300  -26.2500
            31  C1y C    24.4300  -27.6500
            32  C1a C    23.2400  -25.5500
            33  O1a O    23.2400  -28.2800
            34  N1a N    25.6200  -29.7500
BOND        36
            1     1   2 1 #Up
            2     1   3 1
            3     1   4 1
            4     2   5 1
            5     2   6 1
            6     3   7 1
            7     4   8 1
            8     5   9 1
            9     5  10 2
            10    6  11 2
            11    7  12 1 #Up
            12    8  13 1 #Down
            13    9  14 1
            14   11  15 1
            15   12  16 1
            16   14  17 2
            17   16  18 1
            18   18  19 1
            19   18  20 1
            20   18  21 2
            21   19  22 1
            22   22  23 1
            23   22  24 1
            24   22  25 2
            25   26  23 1 #Down
            26   26  27 1
            27   26  28 1
            28   27  29 1
            29   28  30 1
            30   29  31 1
            31   30  32 1 #Up
            32   31  33 1 #Down
            33    7   8 1
            34   11  14 1
            35   30  31 1
            36   29  34 1 #Up

» Japanese version

DBGET integrated database retrieval system