KEGG   COMPOUND: C18050
Entry
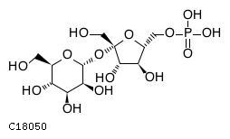
C18050                      Compound                               
Name
beta-D-Fructofuranosyl-alpha-D-mannopyranoside 6F-phosphate;
Mannosylfructose 6-phosphate
Formula
C12H23O14P
Exact mass
422.0825
Mol weight
422.28
Structure
Reaction
Enzyme
2.4.1.246       3.1.3.79
Other DBs
PubChem: 96024270
ChEBI: 51834
LinkDB
KCF data

ATOM        27
            1   O2a O    24.5502  -22.6888
            2   C1y C    23.3398  -23.4008
            3   O2x O    22.1295  -22.6888
            4   C1y C    23.3398  -24.7535
            5   C1y C    20.9192  -23.4008
            6   C1y C    22.1295  -25.4654
            7   O1a O    24.5502  -25.4654
            8   C1y C    20.9192  -24.7535
            9   C1b C    19.7089  -22.6888
            10  O1a O    22.1295  -26.8893
            11  O1a O    19.7089  -25.4654
            12  O1a O    18.7122  -23.6143
            13  C1z C    25.7605  -21.9057
            14  O2x O    26.8996  -21.1225
            15  C1y C    26.1876  -23.2584
            16  C1b C    24.8349  -20.9802
            17  C1y C    28.0387  -21.9769
            18  C1y C    27.6115  -23.2584
            19  O1a O    25.4045  -24.4687
            20  O1a O    28.4659  -24.3975
            21  C1b C    28.8302  -21.0088
            22  O2b O    30.0405  -21.0088
            23  P1b P    31.4644  -21.0088
            24  O1c O    32.8883  -21.0088
            25  O1c O    31.4644  -19.5849
            26  O1c O    31.4644  -22.6427
            27  O1a O    23.4110  -20.9802
BOND        28
            1     2   1 1 #Down
            2     2   3 1
            3     2   4 1
            4     3   5 1
            5     4   6 1
            6     4   7 1 #Up
            7     5   8 1
            8     5   9 1 #Up
            9     6  10 1 #Up
            10    8  11 1 #Down
            11    9  12 1
            12    6   8 1
            13   13  14 1
            14   13  15 1
            15   13  16 1 #Up
            16   14  17 1
            17   15  18 1
            18   15  19 1 #Down
            19   18  20 1 #Up
            20   17  18 1
            21   17  21 1 #Down
            22   21  22 1
            23   22  23 1
            24   23  24 1
            25   23  25 1
            26   23  26 2
            27   13   1 1 #Down
            28   16  27 1

» Japanese version

DBGET integrated database retrieval system