| Entry |
|
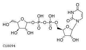
| Name |
UDP-L-arabinofuranose;
UDP-beta-L-arabinofuranose
|
| Formula |
C14H22N2O16P2
|
| Exact mass |
536.0445
|
| Mol weight |
536.28
|
| Structure |

|
| Reaction |
|
| Pathway |
| map00520 | Amino sugar and nucleotide sugar metabolism |
| map01250 | Biosynthesis of nucleotide sugars |
|
| Enzyme |
|
| Brite |
Nucleotide sugars [br08020.html]
Monosaccharides vs nucleotides
C18094
|
| Other DBs |
|
| LinkDB |
|
| KCF data |
ATOM 34
1 C1y C 25.0584 -17.9887
2 N4y N 26.3183 -15.8888
3 O2x O 23.9384 -17.2187
4 C1y C 24.6384 -19.3186
5 C8y C 25.1284 -15.1888
6 C8x C 27.5082 -15.1888
7 C1y C 22.8885 -17.9887
8 C1y C 23.3084 -19.3186
9 O1a O 25.4783 -20.3686
10 N4x N 25.1284 -13.8589
11 O5x O 24.0784 -15.8188
12 C8x C 27.5082 -13.8589
13 C1b C 21.5585 -17.5687
14 O1a O 22.5385 -20.3686
15 C8y C 26.3183 -13.1589
16 O2b O 21.2786 -16.2388
17 O5x O 26.3183 -12.0390
18 P1b P 19.8786 -16.2388
19 O2c O 18.5487 -16.2388
20 O1c O 19.8086 -14.6989
21 O1c O 19.8786 -17.5687
22 P1b P 17.1488 -16.2388
23 O2b O 15.7488 -16.2388
24 O1c O 17.1488 -14.6989
25 O1c O 17.1488 -17.5687
26 C1y C 12.5290 -17.5687
27 C1y C 13.9289 -17.5687
28 C1y C 14.3489 -16.2388
29 O2x O 13.2290 -15.3988
30 C1y C 12.1090 -16.2388
31 O1a O 14.7689 -18.6887
32 C1b C 10.7791 -15.8188
33 O1a O 9.7291 -16.7288
34 O1a O 11.6890 -18.6887
BOND 36
1 1 2 1
2 1 3 1
3 1 4 1
4 2 5 1
5 2 6 1
6 3 7 1
7 4 8 1
8 4 9 1 #Down
9 5 10 1
10 5 11 2
11 6 12 2
12 7 13 1 #Up
13 8 14 1 #Down
14 10 15 1
15 13 16 1
16 15 17 2
17 16 18 1
18 18 19 1
19 18 20 1
20 18 21 2
21 19 22 1
22 22 23 1
23 22 24 1
24 22 25 2
25 7 8 1
26 12 15 1
27 26 27 1
28 27 28 1
29 28 29 1
30 29 30 1
31 26 30 1
32 27 31 1 #Down
33 28 23 1 #Down
34 30 32 1 #Down
35 32 33 1
36 26 34 1 #Up
|