KEGG   COMPOUND: C18163
Entry
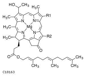
C18163                      Compound                               
Name
Bacteriochlorophyll c
Formula
C46H52MgN4O4(R1)(R2)
Structure
Comment
Generic compound in reaction hierarchy
R1 = ethyl or propyl or isobutyl or neopentyl
R2 = methyl or ethyl
Reaction
Pathway
map00860  Porphyrin metabolism
map01110  Biosynthesis of secondary metabolites
Enzyme
2.5.1.-
Other DBs
PubChem: 96024379
ChEBI: 60197
LinkDB
KCF data

ATOM        57
            1   C8y C    33.1941  -27.0509
            2   C8y C    31.9516  -27.5891
            3   N4y N    33.2890  -25.6885
            4   C8y C    34.5262  -27.5591
            5   C8y C    30.6726  -27.0755
            6   C8y C    34.6091  -25.3792
            7   C8y C    35.3324  -26.5256
            8   C1y C    29.4666  -27.6843
            9   N5x N    30.4569  -25.7250
            10  C8x C    35.0993  -24.1599
            11  N4y N    30.3620  -22.8038
            12  C1y C    28.4982  -26.7817
            13  C8y C    29.1323  -25.5035
            14  C8y C    34.5974  -22.9350
            15  C8y C    30.5355  -21.4533
            16  C8y C    29.0115  -23.0430
            17  C8y C    28.5816  -24.3031
            18  C8y C    35.2129  -21.7040
            19  N5x N    33.2527  -22.7323
            20  C8y C    29.3047  -20.8811
            21  C8x C    31.7665  -20.7909
            22  C8y C    28.3667  -21.8541
            23  C8y C    34.2458  -20.7664
            24  C8y C    33.0325  -21.4006
            25  C1c C    29.3630  -19.5003
            26  C1a C    26.9988  -21.8541
            27  C1a C    34.2270  -19.3923
            28  C1a C    30.4765  -18.8032
            29  Z   R#   36.5622  -21.4774
            30  C5x C    34.0572  -28.9329
            31  C1b C    29.4113  -29.0359
            32  C1b C    28.2147  -29.6567
            33  C7a C    28.1524  -31.0083
            34  O6a O    26.9555  -31.6363
            35  O7a O    29.2938  -31.7318
            36  C1a C    27.0557  -26.8481
            37  Z   R#   36.6480  -26.5891
            38  Z   Mg   31.7841  -24.2506
            39  C1x C    32.5453  -28.9079
            40  O5x O    34.8838  -30.1149
            41  O1a O    28.0516  -18.7980
            42  C1b C    30.4822  -32.4197
            43  C2b C    31.6951  -31.7195
            44  C2c C    32.9078  -32.4197
            45  C1b C    34.1206  -31.7195
            46  C1b C    35.3334  -32.4197
            47  C2b C    36.5462  -31.7195
            48  C2c C    37.7589  -32.4197
            49  C1b C    38.9718  -31.7195
            50  C1b C    40.1845  -32.4197
            51  C2b C    41.3974  -31.7195
            52  C2c C    42.6101  -32.4197
            53  C1a C    43.8229  -31.7195
            54  C1a C    32.9078  -33.8201
            55  C1a C    37.7589  -33.8200
            56  C1a C    42.6101  -33.8197
            57  C1a C    27.1816  -24.3031
BOND        63
            1    14  18 1
            2    14  19 2
            3    15  20 2
            4    15  21 1
            5    16  22 2
            6    18  23 2
            7    19  24 1
            8    20  25 1
            9    22  26 1
            10   23  27 1
            11    6   7 1
            12   12  13 1
            13   16  17 1
            14   20  22 1
            15   21  24 2
            16   23  24 1
            17   25  28 1
            18   18  29 1
            19    1   2 2
            20    4  30 1
            21    1   3 1
            22    8  31 1 #Up
            23    1   4 1
            24   31  32 1
            25    2   5 1
            26   32  33 1
            27    3   6 1
            28   33  34 2
            29    4   7 2
            30   33  35 1
            31    5   8 1
            32   12  36 1 #Down
            33    5   9 2
            34    7  37 1
            35    6  10 2
            36   11  38 1
            37    3  38 1
            38    8  12 1
            39    2  39 1
            40   39  30 1
            41    9  13 1
            42   30  40 2
            43   10  14 1
            44   11  15 1
            45   11  16 1
            46   13  17 2
            47   25  41 1
            48   35  42 1
            49   42  43 1
            50   43  44 2
            51   44  45 1
            52   45  46 1
            53   46  47 1
            54   47  48 2
            55   48  49 1
            56   49  50 1
            57   50  51 1
            58   51  52 2
            59   52  53 1
            60   44  54 1
            61   48  55 1
            62   52  56 1
            63   17  57 1

» Japanese version

DBGET integrated database retrieval system