KEGG   COMPOUND: C18822
Entry
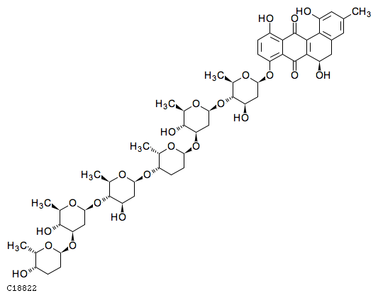
C18822                      Compound                               
Name
Landomycin A
Formula
C55H74O22
Exact mass
1086.4672
Mol weight
1087.16
Structure
Reaction
Pathway
map01057  Biosynthesis of type II polyketide products
Brite
Lipids [BR:br08002]
 PK  Polyketides
  PK08 Angucyclines
   C18822  Landomycin A
Secondary metabolites in pathway maps [br08011.html]
 Biosynthetic pathways and modules of secondary metabolites
  C18822
Other DBs
PubChem: 124489496
ChEBI: 70064
LinkDB
KCF data

ATOM        77
            1   C8x C    38.0775  -17.5076
            2   C8x C    38.0775  -18.9121
            3   C8y C    39.2713  -19.6144
            4   C8y C    40.5353  -18.9121
            5   C8y C    40.5353  -17.5076
            6   C8y C    39.2713  -16.8054
            7   C5x C    41.7291  -19.6144
            8   C2y C    42.9229  -18.9121
            9   C2y C    42.9229  -17.5076
            10  C5x C    41.7291  -16.8054
            11  C1y C    44.1869  -19.6144
            12  C1x C    45.3808  -18.9121
            13  C8y C    45.3808  -17.5076
            14  C8y C    44.1869  -16.8054
            15  O2a O    39.2713  -21.0188
            16  O5x O    41.7291  -21.0188
            17  O1a O    44.1869  -21.0188
            18  C8x C    46.5744  -16.8054
            19  C8y C    46.5744  -15.4008
            20  C8x C    45.3808  -14.6986
            21  C8y C    44.1869  -15.4008
            22  O1a O    42.9930  -14.6986
            23  C1a C    47.7683  -14.6986
            24  O5x O    41.7296  -15.4266
            25  C1y C    38.0662  -21.7145
            26  O2x O    36.8627  -21.0194
            27  C1y C    35.6500  -21.7194
            28  C1y C    35.6499  -23.1197
            29  C1y C    36.8531  -23.8147
            30  C1x C    38.0660  -23.1147
            31  C1a C    34.4187  -21.0083
            32  O1a O    36.8527  -25.2060
            33  O2a O    34.4307  -23.8235
            34  C1y C    33.2182  -24.5236
            35  O2x O    32.0201  -23.8313
            36  C1y C    30.8074  -24.5311
            37  C1y C    30.8070  -25.9311
            38  C1y C    32.0051  -26.6233
            39  C1x C    33.2178  -25.9236
            40  C1a C    29.5762  -23.8201
            41  O2a O    32.0045  -28.0015
            42  O1a O    29.6015  -26.6265
            43  O1a O    39.2540  -15.4013
            44  C1y C    30.7803  -28.7079
            45  O2x O    29.5667  -28.0068
            46  C1y C    28.3547  -28.7061
            47  C1y C    28.3544  -30.1054
            48  C1x C    29.5681  -30.8065
            49  C1x C    30.7800  -30.1071
            50  C1a C    27.1242  -27.9956
            51  O2a O    27.1414  -30.8054
            52  C1y C    25.9290  -31.5054
            53  O2x O    24.6926  -30.7914
            54  C1y C    23.4801  -31.4912
            55  C1y C    23.4799  -32.8912
            56  C1y C    24.7162  -33.6052
            57  C1x C    25.9288  -32.9054
            58  C1a C    22.2493  -30.7800
            59  O1a O    24.7160  -35.0000
            60  O2a O    22.2412  -33.6063
            61  C1y C    21.0288  -34.3063
            62  O2x O    19.7922  -33.5921
            63  C1y C    18.5796  -34.2920
            64  C1y C    18.5795  -35.6920
            65  C1y C    19.8161  -36.4061
            66  C1x C    21.0286  -35.7063
            67  C1a C    17.3489  -33.5808
            68  O2a O    19.8159  -37.8000
            69  O1a O    17.3415  -36.4067
            70  C1y C    18.5989  -38.5024
            71  O2x O    17.4015  -37.8106
            72  C1y C    16.1889  -38.5103
            73  C1y C    16.1885  -39.9103
            74  C1x C    17.3860  -40.6021
            75  C1x C    18.5986  -39.9024
            76  C1a C    14.9580  -37.7992
            77  O1a O    14.9667  -40.6155
BOND        86
            1     1   2 2
            2     2   3 1
            3     3   4 2
            4     4   5 1
            5     5   6 2
            6     1   6 1
            7     4   7 1
            8     7   8 1
            9     8   9 2
            10    9  10 1
            11    5  10 1
            12    8  11 1
            13   11  12 1
            14   12  13 1
            15   13  14 2
            16    9  14 1
            17    3  15 1
            18    7  16 2
            19   11  17 1 #Up
            20   13  18 1
            21   18  19 2
            22   19  20 1
            23   20  21 2
            24   14  21 1
            25   21  22 1
            26   19  23 1
            27   10  24 2
            28   25  15 1 #Up
            29   25  26 1
            30   26  27 1
            31   27  28 1
            32   28  29 1
            33   29  30 1
            34   25  30 1
            35   27  31 1 #Up
            36   29  32 1 #Up
            37   28  33 1 #Down
            38   34  33 1 #Up
            39   34  35 1
            40   35  36 1
            41   36  37 1
            42   37  38 1
            43   38  39 1
            44   34  39 1
            45   36  40 1 #Up
            46   38  41 1 #Up
            47   37  42 1 #Down
            48    6  43 1
            49   44  41 1 #Up
            50   44  45 1
            51   45  46 1
            52   46  47 1
            53   47  48 1
            54   48  49 1
            55   44  49 1
            56   46  50 1 #Down
            57   47  51 1 #Down
            58   52  51 1 #Up
            59   52  53 1
            60   53  54 1
            61   54  55 1
            62   55  56 1
            63   56  57 1
            64   52  57 1
            65   54  58 1 #Up
            66   56  59 1 #Up
            67   55  60 1 #Down
            68   61  60 1 #Up
            69   61  62 1
            70   62  63 1
            71   63  64 1
            72   64  65 1
            73   65  66 1
            74   61  66 1
            75   63  67 1 #Up
            76   65  68 1 #Up
            77   64  69 1 #Down
            78   70  68 1 #Up
            79   70  71 1
            80   71  72 1
            81   72  73 1
            82   73  74 1
            83   74  75 1
            84   70  75 1
            85   72  76 1 #Down
            86   73  77 1 #Down

» Japanese version

DBGET integrated database retrieval system