KEGG   COMPOUND: C19695
Entry
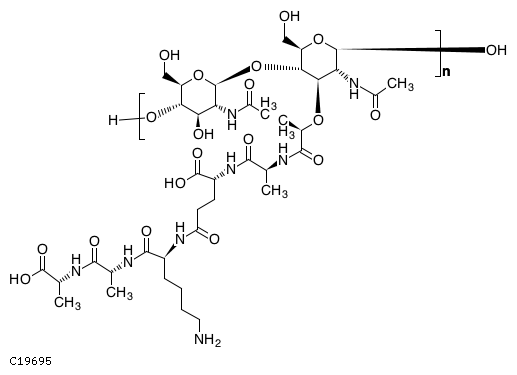
C19695                      Compound                               
Name
[beta-GlcNAc-(1->4)-Mur2Ac(oyl-L-Ala-gamma-D-Glu-L-Lys-D-Ala-D-Ala)]n
Formula
H2O(C39H64N8O19)n
Structure
Reaction
Enzyme
Other DBs
PubChem: 135626163
LinkDB
KCF data

ATOM        67
            1   O2a O    17.9200  -17.9900
            2   C1y C    15.0500  -19.3200
            3   C1y C    15.0500  -20.7200
            4   O2x O    13.8600  -18.6200
            5   C1y C    13.8600  -21.3500
            6   N1b N    16.2400  -21.3500
            7   C1y C    12.6700  -19.3200
            8   C1y C    12.6700  -20.6500
            9   O1a O    13.8600  -22.7500
            10  C5a C    17.4300  -20.6500
            11  C1b C    11.4800  -18.6200
            12  O1a O    10.5700  -21.5600
            13  C1a C    18.5500  -21.3500
            14  O5a O    17.4300  -19.2500
            15  O1a O    11.4800  -17.2200
            16  C1y C    23.5200  -18.2000
            17  C1y C    22.2600  -18.9000
            18  C1y C    23.5200  -16.8000
            19  N1b N    24.7800  -19.1800
            20  C1y C    21.0700  -18.2000
            21  O2a O    22.2600  -21.7700
            22  O2x O    22.2600  -16.1000
            23  C1y C    21.0700  -16.8000
            24  C1c C    21.0700  -22.4700
            25  C1b C    19.8800  -16.1000
            26  C5a C    21.0700  -23.8700
            27  C1a C    19.8100  -21.7700
            28  O1a O    19.8800  -14.4900
            29  N1b N    19.8100  -24.5700
            30  O5a O    22.2600  -24.5700
            31  C1c C    18.6200  -25.2700
            32  C5a C    17.3600  -24.5000
            33  C1a C    18.6200  -26.6700
            34  N1b N    16.1700  -25.2000
            35  O5a O    17.3600  -23.1000
            36  C1c C    14.9800  -25.9000
            37  C6a C    13.7900  -25.4800
            38  C1b C    14.9800  -27.3000
            39  O6a O    13.7900  -24.0800
            40  O6a O    12.6000  -26.1800
            41  C1b C    13.7900  -28.0000
            42  C5a C    13.7900  -29.4000
            43  N1b N    12.6000  -30.1000
            44  O5a O    14.9800  -30.1000
            45  C1c C    11.4800  -31.4300
            46  C5a C    10.2200  -30.9400
            47  C1b C    11.4800  -32.8300
            48  N1b N     8.9600  -31.7100
            49  O5a O    10.2200  -29.5400
            50  C1b C    12.6700  -33.5300
            51  C1c C     7.7700  -32.4100
            52  C1b C    12.6700  -35.0000
            53  C5a C     6.5800  -31.6400
            54  C1a C     7.7700  -33.8100
            55  C1b C    13.9300  -35.7000
            56  N1b N     5.3200  -32.3400
            57  O5a O     6.5800  -30.2400
            58  N1a N    13.9300  -37.1000
            59  C1c C     4.1300  -33.1100
            60  C6a C     2.9400  -32.2000
            61  C1a C     4.1300  -34.5100
            62  O6a O     1.7500  -32.9000
            63  O6a O     2.9400  -30.8000
            64  C5a C    26.2500  -20.0200
            65  C1a C    27.4400  -19.1800
            66  O5a O    26.2500  -21.4200
            67  O1a O    34.3700  -16.8700
BOND        68
            1     2   1 1 #Up
            2     2   3 1
            3     2   4 1
            4     3   5 1
            5     3   6 1 #Down
            6     4   7 1
            7     5   8 1
            8     5   9 1 #Up
            9     6  10 1
            10    7  11 1 #Up
            11    8  12 1 #Down
            12   10  13 1
            13   10  14 2
            14   11  15 1
            15    7   8 1
            16   16  17 1
            17   16  18 1
            18   16  19 1 #Down
            19   17  20 1
            20   17  21 1 #Up
            21   18  22 1
            22   20  23 1
            23   20   1 1 #Down
            24   21  24 1
            25   23  25 1 #Up
            26   24  26 1
            27   24  27 1 #Up
            28   25  28 1
            29   26  29 1
            30   26  30 2
            31   31  29 1 #Up
            32   31  32 1
            33   31  33 1
            34   32  34 1
            35   32  35 2
            36   36  34 1 #Down
            37   36  37 1
            38   36  38 1
            39   37  39 2
            40   22  23 1
            41   37  40 1
            42   38  41 1
            43   41  42 1
            44   42  43 1
            45   42  44 2
            46   45  43 1 #Up
            47   45  46 1
            48   45  47 1
            49   46  48 1
            50   46  49 2
            51   47  50 1
            52   51  48 1 #Down
            53   50  52 1
            54   51  53 1
            55   51  54 1
            56   52  55 1
            57   53  56 1
            58   53  57 2
            59   55  58 1
            60   59  56 1 #Down
            61   59  60 1
            62   59  61 1
            63   60  62 1
            64   60  63 2
            65   19  64 1
            66   64  65 1
            67   64  66 2
            68   18  67 1 #Up
BRACKET     1    10.0800  -23.1000   10.0800  -19.8800
            1    30.4500  -15.4700   30.4500  -18.6900
            1  n
 ORIGINAL  1    1   2   3   4   5   6   7   8   9  10  11  12  13  14  15  16
            1   17  18  19  20  21  22  23  24  25  26  27  28  29  30  31  32
            1   33  34  35  36  37  38  39  40  41  42  43  44  45  46  47  48
            1   49  50  51  52  53  54  55  56  57  58  59  60  61  62  63  64
            1   65  66
 REPEAT    1

» Japanese version

DBGET integrated database retrieval system