KEGG   COMPOUND: C19696
Entry
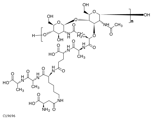
C19696                      Compound                               
Name
[beta-GlcNAc-(1->4)-Mur2Ac(oyl-L-Ala-gamma-D-Glu-6-N-(beta-D-Asp)-L-Lys-D-Ala-D-Ala)]n
Formula
H2O(C43H69N9O22)n
Structure
Reaction
Enzyme
Other DBs
PubChem: 135626164
LinkDB
KCF data

ATOM        75
            1   O2a O    21.1400  -13.0200
            2   C1y C    18.2700  -14.3500
            3   C1y C    18.2700  -15.7500
            4   O2x O    17.0800  -13.6500
            5   C1y C    17.0800  -16.3800
            6   N1b N    19.4600  -16.3800
            7   C1y C    15.8900  -14.3500
            8   C1y C    15.8900  -15.6800
            9   O1a O    17.0800  -17.7800
            10  C5a C    20.6500  -15.6800
            11  C1b C    14.7000  -13.6500
            12  O1a O    13.7900  -16.5900
            13  C1a C    21.7700  -16.3800
            14  O5a O    20.6500  -14.2800
            15  O1a O    14.7000  -12.2500
            16  C1y C    26.7400  -13.2300
            17  C1y C    25.4800  -13.9300
            18  C1y C    26.7400  -11.8300
            19  N1b N    28.0000  -14.2100
            20  C1y C    24.2900  -13.2300
            21  O2a O    25.4800  -16.8000
            22  O2x O    25.4800  -11.1300
            23  C1y C    24.2900  -11.8300
            24  C1c C    24.2900  -17.5000
            25  C1b C    23.1000  -11.1300
            26  C5a C    24.2900  -18.9000
            27  C1a C    23.0300  -16.8000
            28  O1a O    23.1000   -9.5200
            29  N1b N    23.0300  -19.6000
            30  O5a O    25.4800  -19.6000
            31  C1c C    21.8400  -20.3000
            32  C5a C    20.5800  -19.5300
            33  C1a C    21.8400  -21.7000
            34  N1b N    19.3900  -20.2300
            35  O5a O    20.5800  -18.1300
            36  C1c C    18.2000  -20.9300
            37  C6a C    17.0100  -20.5100
            38  C1b C    18.2000  -22.3300
            39  O6a O    17.0100  -19.1100
            40  O6a O    15.8200  -21.2100
            41  C1b C    17.0100  -23.0300
            42  C5a C    17.0100  -24.4300
            43  N1b N    15.8200  -25.1300
            44  O5a O    18.2000  -25.1300
            45  C1c C    14.7000  -26.4600
            46  C5a C    13.4400  -25.9700
            47  C1b C    14.7000  -27.8600
            48  N1b N    12.1800  -26.7400
            49  O5a O    13.4400  -24.5700
            50  C1b C    15.8900  -28.5600
            51  C1c C    10.9900  -27.4400
            52  C1b C    15.8900  -30.0300
            53  C5a C     9.8000  -26.6700
            54  C1a C    10.9900  -28.8400
            55  C1b C    17.1500  -30.7300
            56  N1b N     8.5400  -27.3700
            57  O5a O     9.8000  -25.2700
            58  N1b N    17.1500  -32.1300
            59  C1c C     7.3500  -28.1400
            60  C6a C     6.1600  -27.2300
            61  C1a C     7.3500  -29.5400
            62  O6a O     4.9700  -27.9300
            63  O6a O     6.1600  -25.8300
            64  C5a C    29.4700  -15.0500
            65  C1a C    30.6600  -14.2100
            66  O5a O    29.4700  -16.4500
            67  O1a O    37.5900  -11.9000
            68  C1c C    13.5100  -32.8300
            69  C1b C    14.7700  -32.1300
            70  C6a C    12.3200  -32.1300
            71  N1a N    13.5100  -34.2300
            72  C5a C    15.9600  -32.8300
            73  O6a O    11.1300  -32.8300
            74  O6a O    12.3200  -30.7300
            75  O5a O    15.9600  -34.2300
BOND        76
            1     2   1 1 #Up
            2     2   3 1
            3     2   4 1
            4     3   5 1
            5     3   6 1 #Down
            6     4   7 1
            7     5   8 1
            8     5   9 1 #Up
            9     6  10 1
            10    7  11 1 #Up
            11    8  12 1 #Down
            12   10  13 1
            13   10  14 2
            14   11  15 1
            15    7   8 1
            16   16  17 1
            17   16  18 1
            18   16  19 1 #Down
            19   17  20 1
            20   17  21 1 #Up
            21   18  22 1
            22   20  23 1
            23   20   1 1 #Down
            24   21  24 1
            25   23  25 1 #Up
            26   24  26 1
            27   24  27 1 #Up
            28   25  28 1
            29   26  29 1
            30   26  30 2
            31   31  29 1 #Up
            32   31  32 1
            33   31  33 1
            34   32  34 1
            35   32  35 2
            36   36  34 1 #Down
            37   36  37 1
            38   36  38 1
            39   37  39 2
            40   22  23 1
            41   37  40 1
            42   38  41 1
            43   41  42 1
            44   42  43 1
            45   42  44 2
            46   45  43 1 #Up
            47   45  46 1
            48   45  47 1
            49   46  48 1
            50   46  49 2
            51   47  50 1
            52   51  48 1 #Down
            53   50  52 1
            54   51  53 1
            55   51  54 1
            56   52  55 1
            57   53  56 1
            58   53  57 2
            59   55  58 1
            60   59  56 1 #Down
            61   59  60 1
            62   59  61 1
            63   60  62 1
            64   60  63 2
            65   19  64 1
            66   64  65 1
            67   64  66 2
            68   18  67 1 #Up
            69   68  69 1
            70   68  70 1
            71   68  71 1 #Up
            72   69  72 1
            73   70  73 1
            74   70  74 2
            75   72  58 1
            76   72  75 2
BRACKET     1    13.3000  -18.1300   13.3000  -14.9100
            1    33.6700  -10.5000   33.6700  -13.7200
            1  n
 ORIGINAL  1    1   2   3   4   5   6   7   8   9  10  11  12  13  14  15  16
            1   17  18  19  20  21  22  23  24  25  26  27  28  29  30  31  32
            1   33  34  35  36  37  38  39  40  41  42  43  44  45  46  47  48
            1   49  50  51  52  53  54  55  56  57  58  59  60  61  62  63  64
            1   65  66  69  70  71  72  73  74  75  76
 REPEAT    1

» Japanese version

DBGET integrated database retrieval system