KEGG   COMPOUND: C19884
Entry
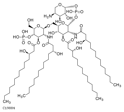
C19884                      Compound                               
Name
Lipid IIA
Formula
C73H139N3O26P2
Exact mass
1535.9122
Mol weight
1536.83
Structure
Reaction
Pathway
map00540  Lipopolysaccharide biosynthesis
Enzyme
2.3.1.251       2.4.2.43
Brite
Lipids [BR:br08002]
 SL  Saccharolipids
  SL01 Acylaminosugars
   SL0104 Tetraacylaminosugars
    C19884  Lipid IIA
Other DBs
PubChem: 135626350
LinkDB
KCF data

ATOM        104
            1   C1x C    21.0272   -5.0456
            2   C1y C    21.0272   -6.4238
            3   C1y C    22.1987   -7.1129
            4   C1y C    23.4391   -6.4238
            5   C1y C    23.4391   -5.0456
            6   O2x O    22.1987   -4.3566
            7   N1a N    19.8558   -7.1129
            8   O1a O    22.1817   -8.4910
            9   O1a O    24.1281   -7.6174
            10  C1y C    16.9616  -12.2811
            11  C1y C    15.8590  -11.5920
            12  C1y C    18.2020  -11.5920
            13  O7a O    16.9616  -13.6593
            14  C1y C    15.8590  -10.2138
            15  O2b O    14.6875  -12.2811
            16  C1y C    18.2020  -10.2138
            17  N1b N    19.3734  -12.2811
            18  C7a C    15.8590  -14.2795
            19  O2x O    16.9616   -9.5247
            20  C1b C    14.6187   -9.5247
            21  P1b P    13.3094  -12.2811
            22  O2a O    19.3734   -9.5247
            23  C5a C    19.3734  -13.6593
            24  C1b C    15.8590  -15.6577
            25  O6a O    14.6875  -13.6593
            26  O1a O    14.6187   -8.1466
            27  O1c O    13.3094  -10.9029
            28  O1c O    11.9312  -12.2811
            29  O1c O    13.3094  -13.6593
            30  C1b C    20.5448   -8.8356
            31  C1b C    20.5448  -14.2795
            32  O5a O    18.2020  -14.2795
            33  C1c C    14.6875  -16.3467
            34  C1y C    21.7853   -9.5247
            35  C1c C    20.5448  -15.6577
            36  C1b C    14.6875  -17.7249
            37  O1a O    13.5162  -15.6577
            38  C1y C    21.7853  -10.9029
            39  O2x O    22.9566   -8.8356
            40  C1b C    19.3734  -16.3467
            41  O1a O    21.7853  -16.3467
            42  C1b C    13.5162  -18.4140
            43  C1y C    22.9566  -11.5920
            44  O1a O    20.5448  -11.2475
            45  C1y C    24.1281   -9.5247
            46  C1b C    19.3734  -17.7249
            47  C1b C    13.5162  -19.7922
            48  C1y C    24.1281  -10.9029
            49  O7a O    22.9566  -12.9701
            50  O2b O    26.1265   -7.3886
            51  C1b C    18.2020  -18.4140
            52  C1b C    12.2758  -20.4812
            53  N1b N    26.0576  -11.5920
            54  C7a C    24.1281  -13.6593
            55  P1b P    26.1265   -6.0792
            56  C1b C    18.2020  -19.7922
            57  C1b C    12.2758  -21.8594
            58  C5a C    27.2980  -10.9029
            59  C1b C    24.1281  -14.9685
            60  O6a O    25.2307  -12.9701
            61  O1c O    24.8172   -6.0104
            62  O1c O    27.5047   -6.0792
            63  C1b C    16.9616  -20.4812
            64  C1b C    11.1043  -22.4796
            65  C1b C    28.4695  -11.5920
            66  O5a O    27.3669   -9.5247
            67  C1c C    25.2996  -15.6577
            68  C1b C    16.9616  -21.8594
            69  C1b C    11.1043  -23.8578
            70  C1c C    28.4695  -12.9701
            71  C1b C    25.2996  -17.0358
            72  O1a O    26.4711  -14.9685
            73  C1b C    15.8590  -22.4796
            74  C1b C     9.9328  -24.5470
            75  C1b C    29.6408  -13.6593
            76  O1a O    27.2980  -13.6593
            77  C1b C    26.4711  -17.7249
            78  C1b C    15.8590  -23.8578
            79  C1b C     9.9328  -25.9251
            80  C1b C    29.6408  -14.9685
            81  C1b C    26.4711  -19.1031
            82  C1b C    14.6875  -24.5470
            83  C1b C     8.6925  -26.6142
            84  C1b C    30.8812  -15.7266
            85  C1b C    27.6425  -19.7922
            86  C1b C    14.6875  -25.9251
            87  C1a C     8.6925  -27.9924
            88  C1b C    30.8812  -17.1048
            89  C1b C    27.6425  -21.1704
            90  C1a C    13.5162  -26.6142
            91  C1b C    32.0527  -17.7938
            92  C1b C    28.8829  -21.8594
            93  C1b C    32.0527  -19.1720
            94  C1b C    28.8829  -23.1688
            95  C1b C    33.1553  -19.8611
            96  C1b C    30.0543  -23.8578
            97  C1b C    33.1553  -21.2393
            98  C1b C    30.0543  -25.2360
            99  C1b C    34.3956  -21.9284
            100 C1b C    31.2258  -25.9251
            101 C1b C    34.3956  -23.2376
            102 C1a C    31.2258  -27.3033
            103 C1a C    35.5671  -23.9267
            104 O2b O    26.1265   -4.7011
BOND        106
            1     1   2 1
            2     2   3 1
            3     3   4 1
            4     4   5 1
            5     5   6 1
            6     1   6 1
            7     2   7 1 #Up
            8     3   8 1 #Up
            9     4   9 1 #Down
            10   10  11 1
            11   10  12 1
            12   10  13 1 #Up
            13   11  14 1
            14   11  15 1 #Down
            15   12  16 1
            16   12  17 1 #Down
            17   13  18 1
            18   14  19 1
            19   14  20 1 #Up
            20   15  21 1
            21   16  22 1 #Up
            22   17  23 1
            23   18  24 1
            24   18  25 2
            25   20  26 1
            26   21  27 1
            27   21  28 1
            28   21  29 2
            29   22  30 1
            30   23  31 1
            31   23  32 2
            32   24  33 1
            33   34  30 1 #Up
            34   31  35 1
            35   33  36 1
            36   33  37 1 #Up
            37   34  38 1
            38   34  39 1
            39   35  40 1
            40   35  41 1 #Down
            41   36  42 1
            42   38  43 1
            43   38  44 1 #Down
            44   39  45 1
            45   40  46 1
            46   42  47 1
            47   43  48 1
            48   43  49 1 #Up
            49   45  50 1 #Down
            50   46  51 1
            51   47  52 1
            52   48  53 1 #Down
            53   49  54 1
            54   50  55 1
            55   51  56 1
            56   52  57 1
            57   53  58 1
            58   54  59 1
            59   54  60 2
            60   55  61 1
            61   55  62 2
            62   56  63 1
            63   57  64 1
            64   58  65 1
            65   58  66 2
            66   59  67 1
            67   63  68 1
            68   64  69 1
            69   65  70 1
            70   67  71 1
            71   67  72 1 #Down
            72   68  73 1
            73   69  74 1
            74   70  75 1
            75   70  76 1 #Up
            76   71  77 1
            77   73  78 1
            78   74  79 1
            79   75  80 1
            80   77  81 1
            81   78  82 1
            82   79  83 1
            83   80  84 1
            84   81  85 1
            85   82  86 1
            86   83  87 1
            87   84  88 1
            88   85  89 1
            89   86  90 1
            90   88  91 1
            91   89  92 1
            92   91  93 1
            93   92  94 1
            94   93  95 1
            95   94  96 1
            96   95  97 1
            97   96  98 1
            98   97  99 1
            99   98 100 1
            100  99 101 1
            101 100 102 1
            102 101 103 1
            103  16  19 1
            104  45  48 1
            105  55 104 1
            106   5 104 1 #Down

» Japanese version

DBGET integrated database retrieval system