KEGG   COMPOUND: C20618
Entry
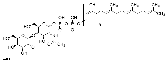
C20618                      Compound                               
Name
beta-D-Gal-(1->4)-alpha-D-GlcNAc-diphospho-ditrans,octacis-undecaprenol
Formula
C69H115NO17P2
Exact mass
1291.7640
Mol weight
1292.59
Structure
Reaction
Enzyme
Brite
Lipids [BR:br08002]
 PR  Prenol lipids
  PR03 Polyprenols
   PR0303 Bactoprenol diphosphates
    C20618  beta-D-Gal-(1->4)-alpha-D-GlcNAc-diphospho-ditrans,octacis-undecaprenol
Other DBs
PubChem: 172232342
LinkDB
KCF data

ATOM        89
            1   C1b C    23.8700  -11.9000
            2   C1b C    22.8200  -12.6000
            3   C2c C    21.5600  -11.9000
            4   C1a C    21.5600  -10.5000
            5   C1b C    20.3700  -14.0000
            6   C2b C    20.3700  -12.6000
            7   O2b O    18.6200  -15.0500
            8   C1a C    37.5900  -12.6000
            9   C2c C    36.3300  -11.9000
            10  C2b C    35.0700  -12.6000
            11  C1a C    36.3300  -10.5000
            12  C1b C    33.8100  -11.9000
            13  C1b C    32.6200  -12.6000
            14  C2c C    31.3600  -11.9000
            15  C2b C    30.1000  -12.6000
            16  C1a C    31.3600  -10.5000
            17  C1b C    28.8400  -11.9000
            18  C1b C    27.6500  -12.6000
            19  C2c C    26.3900  -11.9000
            20  C2b C    25.1300  -12.6000
            21  C1a C    26.3900  -10.5000
            22  P1b P    17.1500  -15.0500
            23  O2c O    15.6800  -15.0500
            24  O1c O    17.1500  -13.5800
            25  O1c O    17.1500  -16.5200
            26  P1b P    14.2100  -15.0500
            27  O2b O    12.7400  -15.0500
            28  O1c O    14.2100  -13.5800
            29  O1c O    14.2100  -16.5200
            30  C1y C    11.5500  -15.7500
            31  O2x O    10.3600  -15.0500
            32  C1y C     9.1000  -15.7500
            33  C1y C     9.1000  -17.1500
            34  C1y C    10.2900  -17.8500
            35  C1y C    11.5500  -17.1500
            36  C1b C     7.9100  -15.0500
            37  O1a O    10.2900  -19.2500
            38  O2a O     7.9100  -17.8500
            39  N1b N    12.7400  -17.8500
            40  O1a O     6.7200  -15.7500
            41  C5a C    12.7400  -19.2500
            42  O5a O    11.5500  -19.9500
            43  C1a C    13.9300  -19.9500
            44  C1y C     6.5800  -18.5500
            45  O2x O     5.3900  -17.8500
            46  C1y C     4.1300  -18.5500
            47  C1y C     4.1300  -19.9500
            48  C1y C     5.3200  -20.6500
            49  C1y C     6.5800  -19.9500
            50  C1b C     2.9400  -17.8500
            51  O1a O     2.9400  -20.6500
            52  O1a O     5.3200  -22.0500
            53  O1a O     7.7700  -20.6500
            54  O1a O     1.7500  -18.5500
            55  C1b C    22.8200  -12.6000
            56  C2c C    21.5600  -11.9000
            57  C1a C    21.5600  -10.5000
            58  C1b C    20.3700  -14.0000
            59  C2b C    20.3700  -12.6000
            60  C1b C    22.8200  -12.6000
            61  C2c C    21.5600  -11.9000
            62  C1a C    21.5600  -10.5000
            63  C1b C    20.3700  -14.0000
            64  C2b C    20.3700  -12.6000
            65  C1b C    22.8200  -12.6000
            66  C2c C    21.5600  -11.9000
            67  C1a C    21.5600  -10.5000
            68  C1b C    20.3700  -14.0000
            69  C2b C    20.3700  -12.6000
            70  C1b C    22.8200  -12.6000
            71  C2c C    21.5600  -11.9000
            72  C1a C    21.5600  -10.5000
            73  C1b C    20.3700  -14.0000
            74  C2b C    20.3700  -12.6000
            75  C1b C    22.8200  -12.6000
            76  C2c C    21.5600  -11.9000
            77  C1a C    21.5600  -10.5000
            78  C1b C    20.3700  -14.0000
            79  C2b C    20.3700  -12.6000
            80  C1b C    22.8200  -12.6000
            81  C2c C    21.5600  -11.9000
            82  C1a C    21.5600  -10.5000
            83  C1b C    20.3700  -14.0000
            84  C2b C    20.3700  -12.6000
            85  C1b C    22.8200  -12.6000
            86  C2c C    21.5600  -11.9000
            87  C1a C    21.5600  -10.5000
            88  C1b C    20.3700  -14.0000
            89  C2b C    20.3700  -12.6000
BOND        90
            1    12  13 1
            2    13  14 1
            3    14  15 2
            4    14  16 1
            5    15  17 1
            6    10  12 1
            7     8   9 1
            8     9  10 2
            9    17  18 1
            10   18  19 1
            11   19  20 2
            12   19  21 1
            13   20   1 1
            14    9  11 1
            15    7  22 1
            16   22  23 1
            17   22  24 1
            18   22  25 2
            19   23  26 1
            20   26  27 1
            21   26  28 1
            22   26  29 2
            23   30  27 1 #Down
            24   30  31 1
            25   31  32 1
            26   32  33 1
            27   33  34 1
            28   34  35 1
            29   30  35 1
            30   32  36 1 #Up
            31   34  37 1 #Up
            32   33  38 1 #Down
            33   35  39 1 #Down
            34   36  40 1
            35   39  41 1
            36   41  42 2
            37   41  43 1
            38   44  45 1
            39   45  46 1
            40   46  47 1
            41   47  48 1
            42   48  49 1
            43   44  49 1
            44   46  50 1 #Up
            45   47  51 1 #Up
            46   48  52 1 #Up
            47   49  53 1 #Down
            48   50  54 1
            49   44  38 1 #Up
            50    1   2 1
            51    3   4 1
            52    3   2 1
            53    5   6 1
            54    6   3 2
            55    5  55 1
            56   56  57 1
            57   56  55 1
            58   58  59 1
            59   59  56 2
            60   58  60 1
            61   61  62 1
            62   61  60 1
            63   63  64 1
            64   64  61 2
            65   63  65 1
            66   66  67 1
            67   66  65 1
            68   68  69 1
            69   69  66 2
            70   68  70 1
            71   71  72 1
            72   71  70 1
            73   73  74 1
            74   74  71 2
            75   73  75 1
            76   76  77 1
            77   76  75 1
            78   78  79 1
            79   79  76 2
            80   78  80 1
            81   81  82 1
            82   81  80 1
            83   83  84 1
            84   84  81 2
            85   83  85 1
            86   86  87 1
            87   86  85 1
            88   88  89 1
            89   89  86 2
            90   88   7 1
BRACKET     1    20.0900  -15.5400   20.0900  -10.2900
            1    23.0300  -10.2900   23.0300  -15.5400
            1  8
 ORIGINAL  1    2   3   4   5   6
 REPEAT    1   55  56  57  58  59  60  61  62  63  64  65  66  67  68  69  70
            1   71  72  73  74  75  76  77  78  79  80  81  82  83  84  85  86
            1   87  88  89

» Japanese version

DBGET integrated database retrieval system