KEGG   COMPOUND: C20623
Entry
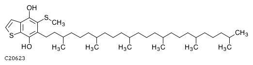
C20623                      Compound                               
Name
Caldariellaquinol
Formula
C39H68O2S2
Exact mass
632.4661
Mol weight
633.09
Structure
Reaction
Enzyme
Other DBs
PubChem: 172232347
LinkDB
KCF data

ATOM        43
            1   C8x C     2.7410  -15.0439
            2   C8x C     1.9104  -16.1850
            3   S2x S     2.7391  -17.3274
            4   C8y C     4.0818  -16.8925
            5   C8y C     4.0830  -15.4810
            6   C8y C     5.3035  -17.5991
            7   C8y C     6.5263  -16.8945
            8   C8y C     6.5274  -15.4831
            9   C8y C     5.3058  -14.7764
            10  S2a S     7.7745  -14.7649
            11  C1a C     8.9618  -15.4521
            12  C1b C     7.7444  -17.5989
            13  C1b C     8.9777  -16.8883
            14  C1c C    10.2120  -17.6029
            15  C1b C    11.4187  -16.9086
            16  C1a C    10.2100  -19.0494
            17  C1b C    12.6436  -17.6181
            18  C1b C    13.8329  -16.9338
            19  C1c C    15.0358  -17.6308
            20  C1b C    16.2359  -16.9403
            21  C1a C    15.0339  -19.0492
            22  C1b C    17.4333  -17.6341
            23  C1b C    18.6362  -16.9419
            24  C1c C    19.8322  -17.6348
            25  C1b C    21.0358  -16.9422
            26  C1a C    19.8302  -19.0492
            27  C1b C    22.2315  -17.6350
            28  C1b C    23.4351  -16.9423
            29  C1c C    24.6308  -17.6350
            30  C1b C    25.8344  -16.9423
            31  C1a C    24.6288  -19.0492
            32  C1b C    27.0302  -17.6350
            33  C1b C    28.2337  -16.9422
            34  C1c C    29.4295  -17.6349
            35  C1b C    30.6330  -16.9421
            36  C1a C    29.4277  -19.0492
            37  C1b C    31.8289  -17.6348
            38  C1b C    33.0323  -16.9421
            39  C1c C    34.2283  -17.6348
            40  C1a C    35.4316  -16.9420
            41  C1a C    34.2265  -19.0492
            42  O1a O     5.3071  -13.3801
            43  O1a O     5.3027  -18.9699
BOND        44
            1     1   2 2
            2     2   3 1
            3     3   4 1
            4     4   5 2
            5     1   5 1
            6     4   6 1
            7     6   7 2
            8     7   8 1
            9     8   9 2
            10    5   9 1
            11    8  10 1
            12   10  11 1
            13    7  12 1
            14   12  13 1
            15   13  14 1
            16   14  15 1
            17   14  16 1
            18   15  17 1
            19   17  18 1
            20   18  19 1
            21   19  20 1
            22   19  21 1
            23   20  22 1
            24   22  23 1
            25   23  24 1
            26   24  25 1
            27   24  26 1
            28   25  27 1
            29   27  28 1
            30   28  29 1
            31   29  30 1
            32   29  31 1
            33   30  32 1
            34   32  33 1
            35   33  34 1
            36   34  35 1
            37   34  36 1
            38   35  37 1
            39   37  38 1
            40   38  39 1
            41   39  40 1
            42   39  41 1
            43    9  42 1
            44    6  43 1

» Japanese version

DBGET integrated database retrieval system