KEGG   COMPOUND: C20626
Entry
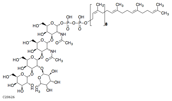
C20626                      Compound                               
Name
alpha-D-Gal-(1->3)-(alpha-L-Fuc-(1->2))-beta-D-Gal-(1->3)-alpha-D-GalNAc-(1->3)-alpha-D-GalNAc-diphospho-ditrans,octacis-undecaprenol
Formula
C89H148N2O31P2
Exact mass
1802.9541
Mol weight
1804.07
Structure
Reaction
Enzyme
Brite
Lipids [BR:br08002]
 PR  Prenol lipids
  PR03 Polyprenols
   PR0303 Bactoprenol diphosphates
    C20626  alpha-D-Gal-(1->3)-(alpha-L-Fuc-(1->2))-beta-D-Gal-(1->3)-alpha-D-GalNAc-(1->3)-alpha-D-GalNAc-diphospho-ditrans,octacis-undecaprenol
Other DBs
PubChem: 172232350
LinkDB
KCF data

ATOM        124
            1   C1b C    26.2500   -6.9300
            2   C1b C    25.2000   -7.6300
            3   C2c C    23.9400   -6.9300
            4   C1a C    23.9400   -5.5300
            5   C1b C    22.7500   -9.0300
            6   C2b C    22.7500   -7.6300
            7   O2b O    21.0000  -10.0800
            8   C1a C    39.9700   -7.6300
            9   C2c C    38.7100   -6.9300
            10  C2b C    37.4500   -7.6300
            11  C1a C    38.7100   -5.5300
            12  C1b C    36.1900   -6.9300
            13  C1b C    35.0000   -7.6300
            14  C2c C    33.7400   -6.9300
            15  C2b C    32.4800   -7.6300
            16  C1a C    33.7400   -5.5300
            17  C1b C    31.2200   -6.9300
            18  C1b C    30.0300   -7.6300
            19  C2c C    28.7700   -6.9300
            20  C2b C    27.5100   -7.6300
            21  C1a C    28.7700   -5.5300
            22  P1b P    19.5300  -10.0800
            23  O2c O    18.0600  -10.0800
            24  O1c O    19.5300   -8.6100
            25  O1c O    19.5300  -11.5500
            26  P1b P    16.5900  -10.0800
            27  O2b O    15.1200  -10.0800
            28  O1c O    16.5900   -8.6100
            29  O1c O    16.5900  -11.5500
            30  C1y C    13.9300  -10.7800
            31  O2x O    12.7400  -10.0800
            32  C1y C    11.4800  -10.7800
            33  C1y C    11.4800  -12.1800
            34  C1y C    12.6700  -12.8800
            35  C1y C    13.9300  -12.1800
            36  C1b C    10.2900  -10.0800
            37  O2a O    12.6700  -14.2800
            38  O1a O    10.2900  -12.8800
            39  N1b N    15.1200  -12.8800
            40  O1a O     9.1000  -10.7800
            41  C5a C    15.1200  -14.2800
            42  O5a O    13.9300  -14.9800
            43  C1a C    16.3100  -14.9800
            44  C1y C    11.4800  -14.9800
            45  O2x O    10.2900  -14.2800
            46  C1y C     9.0300  -14.9800
            47  C1y C     9.0300  -16.3800
            48  C1y C    10.2200  -17.0800
            49  C1y C    11.4800  -16.3800
            50  C1b C     7.8400  -14.2800
            51  O1a O     7.8400  -17.0800
            52  O2a O    10.2200  -18.4800
            53  N1b N    12.6700  -17.0800
            54  O1a O     6.6500  -14.9800
            55  C5a C    12.6700  -18.4800
            56  O5a O    11.4800  -19.1800
            57  C1a C    13.8600  -19.1800
            58  C1y C     9.0300  -19.1800
            59  O2x O     7.8400  -18.4800
            60  C1y C     6.5800  -19.1800
            61  C1y C     6.5800  -20.5800
            62  C1y C     7.7700  -21.2800
            63  C1y C     9.0300  -20.5800
            64  C1b C     5.3900  -18.4800
            65  O1a O     5.3900  -21.2800
            66  O2a O     7.7700  -22.6800
            67  O2a O    10.2200  -21.2800
            68  O1a O     4.2000  -19.1800
            69  O1a O     7.8400  -25.4800
            70  C1y C     6.5576  -23.3800
            71  O2x O     5.3621  -22.6896
            72  C1y C     4.1496  -23.3895
            73  C1y C     4.1494  -24.7895
            74  C1y C     5.3450  -25.4799
            75  C1y C     6.5575  -24.7800
            76  C1b C     2.9184  -22.6785
            77  O1a O     2.9266  -25.4955
            78  O1a O     1.7216  -23.3695
            79  O1a O     5.3448  -26.8798
            80  C1y C    10.5823  -22.6323
            81  O2x O     9.5974  -23.6170
            82  C1y C     9.9597  -24.9694
            83  C1y C    11.3119  -25.3318
            84  C1y C    12.2968  -24.3471
            85  C1y C    11.9346  -22.9948
            86  O1a O    12.9241  -22.0054
            87  C1a C     8.9495  -25.9794
            88  O1a O    11.6777  -26.6986
            89  O1a O    13.6740  -24.7161
            90  C1b C    25.2000   -7.6300
            91  C2c C    23.9400   -6.9300
            92  C1a C    23.9400   -5.5300
            93  C1b C    22.7500   -9.0300
            94  C2b C    22.7500   -7.6300
            95  C1b C    25.2000   -7.6300
            96  C2c C    23.9400   -6.9300
            97  C1a C    23.9400   -5.5300
            98  C1b C    22.7500   -9.0300
            99  C2b C    22.7500   -7.6300
            100 C1b C    25.2000   -7.6300
            101 C2c C    23.9400   -6.9300
            102 C1a C    23.9400   -5.5300
            103 C1b C    22.7500   -9.0300
            104 C2b C    22.7500   -7.6300
            105 C1b C    25.2000   -7.6300
            106 C2c C    23.9400   -6.9300
            107 C1a C    23.9400   -5.5300
            108 C1b C    22.7500   -9.0300
            109 C2b C    22.7500   -7.6300
            110 C1b C    25.2000   -7.6300
            111 C2c C    23.9400   -6.9300
            112 C1a C    23.9400   -5.5300
            113 C1b C    22.7500   -9.0300
            114 C2b C    22.7500   -7.6300
            115 C1b C    25.2000   -7.6300
            116 C2c C    23.9400   -6.9300
            117 C1a C    23.9400   -5.5300
            118 C1b C    22.7500   -9.0300
            119 C2b C    22.7500   -7.6300
            120 C1b C    25.2000   -7.6300
            121 C2c C    23.9400   -6.9300
            122 C1a C    23.9400   -5.5300
            123 C1b C    22.7500   -9.0300
            124 C2b C    22.7500   -7.6300
BOND        128
            1    12  13 1
            2    13  14 1
            3    14  15 2
            4    14  16 1
            5    15  17 1
            6    10  12 1
            7     8   9 1
            8     9  10 2
            9    17  18 1
            10   18  19 1
            11   19  20 2
            12   19  21 1
            13   20   1 1
            14    9  11 1
            15    7  22 1
            16   22  23 1
            17   22  24 1
            18   22  25 2
            19   23  26 1
            20   26  27 1
            21   26  28 1
            22   26  29 2
            23   30  27 1 #Down
            24   30  31 1
            25   31  32 1
            26   32  33 1
            27   33  34 1
            28   34  35 1
            29   30  35 1
            30   32  36 1 #Up
            31   34  37 1 #Up
            32   33  38 1 #Up
            33   35  39 1 #Down
            34   36  40 1
            35   39  41 1
            36   41  42 2
            37   41  43 1
            38   44  37 1 #Down
            39   44  45 1
            40   45  46 1
            41   46  47 1
            42   47  48 1
            43   48  49 1
            44   44  49 1
            45   46  50 1 #Up
            46   47  51 1 #Up
            47   48  52 1 #Up
            48   49  53 1 #Down
            49   50  54 1
            50   53  55 1
            51   55  56 2
            52   55  57 1
            53   58  52 1 #Up
            54   58  59 1
            55   59  60 1
            56   60  61 1
            57   61  62 1
            58   62  63 1
            59   58  63 1
            60   60  64 1 #Up
            61   61  65 1 #Up
            62   62  66 1 #Up
            63   63  67 1 #Down
            64   64  68 1
            65   70  66 1 #Down
            66   70  71 1
            67   71  72 1
            68   72  73 1
            69   73  74 1
            70   74  75 1
            71   70  75 1
            72   75  69 1 #Down
            73   72  76 1 #Up
            74   73  77 1 #Up
            75   76  78 1
            76   74  79 1 #Up
            77   80  67 1 #Up
            78   80  81 1
            79   81  82 1
            80   82  83 1
            81   83  84 1
            82   84  85 1
            83   80  85 1
            84   85  86 1 #Up
            85   82  87 1 #Down
            86   83  88 1 #Down
            87   84  89 1 #Down
            88    1   2 1
            89    3   4 1
            90    3   2 1
            91    5   6 1
            92    6   3 2
            93    5  90 1
            94   91  92 1
            95   91  90 1
            96   93  94 1
            97   94  91 2
            98   93  95 1
            99   96  97 1
            100  96  95 1
            101  98  99 1
            102  99  96 2
            103  98 100 1
            104 101 102 1
            105 101 100 1
            106 103 104 1
            107 104 101 2
            108 103 105 1
            109 106 107 1
            110 106 105 1
            111 108 109 1
            112 109 106 2
            113 108 110 1
            114 111 112 1
            115 111 110 1
            116 113 114 1
            117 114 111 2
            118 113 115 1
            119 116 117 1
            120 116 115 1
            121 118 119 1
            122 119 116 2
            123 118 120 1
            124 121 122 1
            125 121 120 1
            126 123 124 1
            127 124 121 2
            128 123   7 1
BRACKET     1    22.4700  -10.7100   22.4700   -5.4600
            1    25.3400   -5.4600   25.3400  -10.7100
            1  8
 ORIGINAL  1    2   3   4   5   6
 REPEAT    1   90  91  92  93  94  95  96  97  98  99 100 101 102 103 104 105
            1  106 107 108 109 110 111 112 113 114 115 116 117 118 119 120 121
            1  122 123 124

» Japanese version

DBGET integrated database retrieval system