KEGG   COMPOUND: C20744
Entry
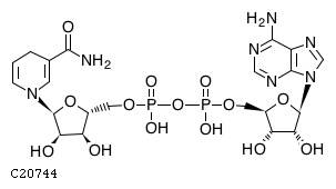
C20744                      Compound                               
Name
alpha-NADH
Formula
C21H29N7O14P2
Exact mass
665.1248
Mol weight
665.44
Structure
Reaction
Enzyme
Other DBs
PubChem: 254741212
LinkDB
KCF data

ATOM        44
            1   N4y N    27.6586  -15.6680
            2   C8y C    26.3917  -15.2700
            3   C1y C    26.9740  -17.8955
            4   C8x C    28.4235  -14.5846
            5   C8y C    26.3794  -13.9421
            6   N5x N    25.2288  -15.9495
            7   O2x O    25.8726  -17.1001
            8   C1y C    26.5702  -19.1441
            9   N5x N    27.6403  -13.5259
            10  C8y C    25.2165  -13.2688
            11  C8x C    24.0599  -15.3008
            12  C1y C    24.7954  -17.8711
            13  C1y C    25.2176  -19.1441
            14  O1a O    27.3597  -20.2213
            15  N5x N    24.0538  -13.9482
            16  N1a N    25.2102  -11.9408
            17  C1b C    23.5407  -17.4795
            18  O1a O    24.4528  -20.2213
            19  O2b O    22.4697  -17.4306
            20  P1b P    21.0314  -17.4243
            21  O2c O    19.2322  -17.4306
            22  O1c O    21.0314  -18.9789
            23  O1c O    21.0314  -15.9372
            24  P1b P    17.5674  -17.4243
            25  O2b O    16.1353  -17.4366
            26  O1c O    17.5736  -18.9117
            27  O1c O    17.5674  -15.9310
            28  C1b C    14.8158  -17.4879
            29  C1y C    13.5734  -17.9223
            30  O2x O    12.4655  -17.1880
            31  C1y C    13.2244  -19.2810
            32  C1y C    11.3946  -18.0203
            33  C1y C    11.8475  -19.3117
            34  O1a O    14.0141  -20.3297
            35  N1y N    10.0787  -16.7349
            36  O1a O    11.0946  -20.3582
            37  C2x C    11.1008  -15.9823
            38  C2x C     8.8058  -16.0373
            39  C2y C    11.1068  -14.6419
            40  C2x C     8.7874  -14.7827
            41  C1x C     9.9135  -14.0483
            42  C5a C    12.3153  -13.9225
            43  N1a N    13.5215  -14.6189
            44  O5a O    12.3060  -12.5299
BOND        48
            1     1   2 1
            2     3   1 1 #Up
            3     1   4 1
            4     2   5 2
            5     2   6 1
            6     3   7 1
            7     3   8 1
            8     4   9 2
            9     5  10 1
            10    6  11 2
            11    7  12 1
            12    8  13 1
            13    8  14 1 #Down
            14   10  15 2
            15   10  16 1
            16   12  17 1 #Up
            17   13  18 1 #Down
            18   17  19 1
            19   19  20 1
            20   20  21 1
            21   20  22 1
            22   20  23 2
            23   21  24 1
            24   24  25 1
            25   24  26 1
            26   24  27 2
            27   25  28 1
            28   29  28 1 #Down
            29   29  30 1
            30   29  31 1
            31   30  32 1
            32   31  33 1
            33   31  34 1 #Up
            34   32  35 1 #Up
            35   33  36 1 #Up
            36   35  37 1
            37   35  38 1
            38   37  39 2
            39   38  40 2
            40   39  41 1
            41    5   9 1
            42   11  15 1
            43   12  13 1
            44   32  33 1
            45   40  41 1
            46   39  42 1
            47   42  43 1
            48   42  44 2

» Japanese version

DBGET integrated database retrieval system