KEGG   COMPOUND: C20762
Entry
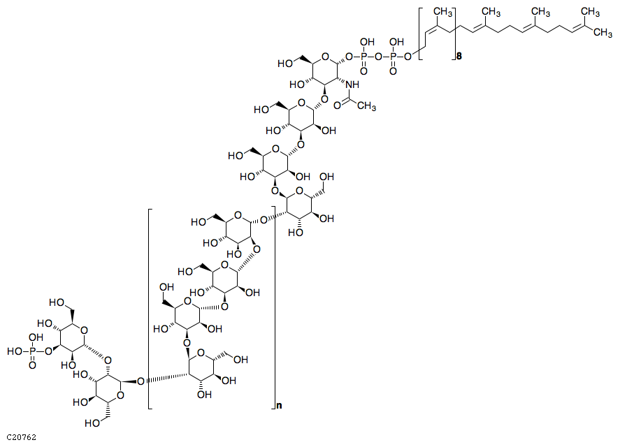
C20762                      Compound                               
Name
3-O-Phospho-alpha-D-Man-(1->2)-alpha-D-Man-(1->2)-[alpha-D-Man-(1->3)-alpha-D-Man-(1->3)-alpha-D-Man-(1->2)-alpha-D-Man-(1->2)]n-alpha-D-Man-(1->3)-alpha-D-Man-(1->3)-alpha-D-Man-(1->3)-alpha-D-GlcNAc-diphospho-ditrans,octacis-undecaprenol
Formula
C93H156NO40P3(C24H40O20)n
Structure
Reaction
Enzyme
2.1.1.294       2.7.1.181
Brite
Lipids [BR:br08002]
 PR  Prenol lipids
  PR03 Polyprenols
   PR0303 Bactoprenol diphosphates
    C20762  3-O-Phospho-alpha-D-Man-(1->2)-alpha-D-Man-(1->2)-[alpha-D-Man-(1->3)-alpha-D-Man-(1->3)-alpha-D-Man-(1->2)-alpha-D-Man-(1->2)]n-alpha-D-Man-(1->3)-alpha-D-Man-(1->3)-alpha-D-Man-(1->3)-alpha-D-GlcNAc-diphospho-ditrans,octacis-undecaprenol
Other DBs
PubChem: 254741230
LinkDB
KCF data

ATOM        181
            1   P1b P     8.8200  -48.7200
            2   O1c O     8.8200  -47.3200
            3   O1c O     7.4200  -48.7200
            4   O1c O     8.8200  -50.1200
            5   C1y C    14.0000  -48.0200
            6   O2x O    14.0000  -46.6200
            7   C1y C    12.8100  -45.9200
            8   C1y C    11.6200  -46.6200
            9   C1y C    11.6200  -48.0200
            10  C1y C    12.8100  -48.7200
            11  O1a O    12.8100  -50.1200
            12  O2b O    10.4300  -48.7200
            13  C1b C    12.8100  -44.5200
            14  O1a O    10.4300  -45.9200
            15  O1a O    11.6200  -43.8200
            16  C1y C    15.1900  -51.7300
            17  C1y C    15.1900  -53.1300
            18  C1y C    16.4024  -53.8300
            19  O2x O    17.6149  -53.1300
            20  C1y C    17.6149  -51.7300
            21  C1y C    16.4024  -51.0300
            22  C1b C    16.4024  -55.2298
            23  O1a O    13.9776  -51.0300
            24  O2a O    16.4024  -49.6302
            25  O1a O    13.9776  -53.8300
            26  O1a O    15.1732  -55.9397
            27  C1y C    24.5000  -49.5600
            28  C1y C    24.5000  -50.9600
            29  C1y C    25.7124  -51.6600
            30  C1y C    26.9249  -50.9600
            31  C1y C    26.9249  -49.5600
            32  O2x O    25.7124  -48.8600
            33  O2a O    19.6476  -51.7300
            34  O1a O    25.7124  -53.0598
            35  O1a O    28.1560  -51.6710
            36  C1b C    28.1560  -48.8490
            37  O1a O    29.3612  -49.5447
            38  C1y C    25.5500  -44.3800
            39  O2x O    24.3600  -43.6800
            40  C1y C    23.1000  -44.3800
            41  C1y C    23.1000  -45.7800
            42  C1y C    24.2900  -46.4800
            43  C1y C    25.5500  -45.7800
            44  C1b C    21.9100  -43.6800
            45  O1a O    26.7400  -46.4800
            46  O1a O    22.0500  -46.4800
            47  O1a O    21.9100  -42.2800
            48  C1y C    26.8678  -40.7653
            49  C1y C    26.8678  -42.1697
            50  C1y C    28.0616  -42.8720
            51  C1y C    29.3256  -42.1697
            52  C1y C    29.3256  -40.7653
            53  O2x O    28.0616  -40.0631
            54  O1a O    30.5193  -42.8720
            55  O2a O    28.0616  -44.2064
            56  O1a O    25.6741  -42.8720
            57  C1b C    25.6741  -40.0631
            58  O1a O    24.4803  -40.7653
            59  C1y C    28.2100  -35.7700
            60  C1y C    28.2100  -37.1700
            61  C1y C    29.4224  -37.8700
            62  C1y C    30.6349  -37.1700
            63  C1y C    30.6349  -35.7700
            64  O2x O    29.4224  -35.0700
            65  O2a O    31.3060  -38.5110
            66  O1a O    29.4224  -38.9898
            67  O1a O    26.9976  -37.8700
            68  C1b C    26.9976  -35.0700
            69  O1a O    25.8021  -35.7604
            70  C1y C    36.9437  -24.5105
            71  O2x O    35.7391  -23.8149
            72  C1y C    34.5266  -24.5148
            73  C1y C    34.5265  -25.9148
            74  C1y C    35.7311  -26.6104
            75  C1y C    36.9436  -25.9105
            76  O1a O    38.1636  -26.6151
            77  O1a O    33.3082  -26.6181
            78  C1b C    33.2953  -23.8039
            79  O1a O    32.1031  -24.4923
            80  O2a O    35.7307  -27.9997
            81  C1y C    34.3551  -29.1329
            82  O2x O    33.1485  -28.4360
            83  C1y C    31.9359  -29.1358
            84  C1y C    31.9357  -30.5358
            85  C1y C    33.1424  -31.2328
            86  C1y C    34.3549  -30.5329
            87  C1b C    30.7047  -28.4249
            88  O1a O    35.5728  -31.2364
            89  O2a O    33.1419  -32.6196
            90  O1a O    30.7184  -31.2385
            91  O1a O    29.5134  -29.1128
            92  C1y C    34.3302  -33.3064
            93  C1y C    34.3298  -34.7197
            94  C1y C    35.5420  -35.4200
            95  C1y C    36.7546  -34.7204
            96  C1y C    36.7550  -33.3071
            97  O2x O    35.5428  -32.6068
            98  O2a O    31.9749  -35.5725
            99  O1a O    35.5416  -36.8199
            100 C1b C    37.9583  -32.6129
            101 O1a O    37.9632  -35.4187
            102 O1a O    37.9583  -31.2129
            103 O2b O    46.4100  -19.1800
            104 P1b P    44.9400  -19.1800
            105 O2c O    43.4700  -19.1800
            106 O1c O    44.9400  -17.7100
            107 O1c O    44.9400  -20.6500
            108 P1b P    42.0000  -19.1800
            109 O2b O    40.5300  -19.1800
            110 O1c O    42.0000  -17.7100
            111 O1c O    42.0000  -20.6500
            112 C1y C    39.3400  -19.8800
            113 O2x O    38.1500  -19.1800
            114 C1y C    36.8900  -19.8800
            115 C1y C    36.8900  -21.2800
            116 C1y C    38.0800  -21.9800
            117 C1y C    39.3400  -21.2800
            118 C1b C    35.7000  -19.1800
            119 O2a O    38.0800  -23.4500
            120 O1a O    35.7000  -21.9800
            121 N1b N    40.5300  -21.9800
            122 O1a O    34.5100  -19.8800
            123 C5a C    40.5300  -23.3800
            124 O5a O    39.3400  -24.0800
            125 C1a C    41.7200  -24.0800
            126 C1b C    50.6100  -16.7300
            127 C2c C    49.3500  -16.0300
            128 C1a C    49.3500  -14.6300
            129 C1b C    48.1600  -18.1300
            130 C2b C    48.1600  -16.7300
            131 C1b C    51.6600  -16.0300
            132 C1a C    65.3800  -16.7300
            133 C2c C    64.1200  -16.0300
            134 C2b C    62.8600  -16.7300
            135 C1a C    64.1200  -14.6300
            136 C1b C    61.6000  -16.0300
            137 C1b C    60.4100  -16.7300
            138 C2c C    59.1500  -16.0300
            139 C2b C    57.8900  -16.7300
            140 C1a C    59.1500  -14.6300
            141 C1b C    56.6300  -16.0300
            142 C1b C    55.4400  -16.7300
            143 C2c C    54.1800  -16.0300
            144 C2b C    52.9200  -16.7300
            145 C1a C    54.1800  -14.6300
            146 O2a O    24.2728  -47.8799
            147 C1b C    50.6100  -16.7300
            148 C2c C    49.3500  -16.0300
            149 C1a C    49.3500  -14.6300
            150 C1b C    48.1600  -18.1300
            151 C2b C    48.1600  -16.7300
            152 C1b C    50.6100  -16.7300
            153 C2c C    49.3500  -16.0300
            154 C1a C    49.3500  -14.6300
            155 C1b C    48.1600  -18.1300
            156 C2b C    48.1600  -16.7300
            157 C1b C    50.6100  -16.7300
            158 C2c C    49.3500  -16.0300
            159 C1a C    49.3500  -14.6300
            160 C1b C    48.1600  -18.1300
            161 C2b C    48.1600  -16.7300
            162 C1b C    50.6100  -16.7300
            163 C2c C    49.3500  -16.0300
            164 C1a C    49.3500  -14.6300
            165 C1b C    48.1600  -18.1300
            166 C2b C    48.1600  -16.7300
            167 C1b C    50.6100  -16.7300
            168 C2c C    49.3500  -16.0300
            169 C1a C    49.3500  -14.6300
            170 C1b C    48.1600  -18.1300
            171 C2b C    48.1600  -16.7300
            172 C1b C    50.6100  -16.7300
            173 C2c C    49.3500  -16.0300
            174 C1a C    49.3500  -14.6300
            175 C1b C    48.1600  -18.1300
            176 C2b C    48.1600  -16.7300
            177 C1b C    50.6100  -16.7300
            178 C2c C    49.3500  -16.0300
            179 C1a C    49.3500  -14.6300
            180 C1b C    48.1600  -18.1300
            181 C2b C    48.1600  -16.7300
BOND        190
            1     1   2 1
            2     1   3 1
            3     1   4 2
            4     5   6 1
            5     6   7 1
            6     7   8 1
            7     8   9 1
            8     9  10 1
            9     5  10 1
            10   10  11 1 #Up
            11    9  12 1 #Up
            12    7  13 1 #Up
            13    8  14 1 #Down
            14   13  15 1
            15   16  17 1
            16   17  18 1
            17   18  19 1
            18   19  20 1
            19   20  21 1
            20   16  21 1
            21   18  22 1 #Down
            22   16  23 1 #Down
            23   21  24 1 #Down
            24   17  25 1 #Up
            25   22  26 1
            26   27  28 1
            27   28  29 1
            28   29  30 1
            29   30  31 1
            30   31  32 1
            31   27  32 1
            32   28  33 1 #Down
            33   29  34 1 #Down
            34   30  35 1 #Up
            35   31  36 1 #Down
            36   36  37 1
            37   38  39 1
            38   39  40 1
            39   40  41 1
            40   41  42 1
            41   42  43 1
            42   38  43 1
            43   40  44 1 #Up
            44   43  45 1 #Up
            45   41  46 1 #Down
            46   44  47 1
            47   48  49 1
            48   49  50 1
            49   50  51 1
            50   51  52 1
            51   52  53 1
            52   48  53 1
            53   51  54 1 #Up
            54   50  55 1 #Up
            55   49  56 1 #Down
            56   48  57 1 #Up
            57   57  58 1
            58   59  60 1
            59   60  61 1
            60   61  62 1
            61   62  63 1
            62   63  64 1
            63   59  64 1
            64   62  65 1 #Up
            65   61  66 1 #Up
            66   60  67 1 #Down
            67   59  68 1 #Up
            68   68  69 1
            69   70  71 1
            70   71  72 1
            71   72  73 1
            72   73  74 1
            73   74  75 1
            74   70  75 1
            75   75  76 1 #Up
            76   73  77 1 #Down
            77   72  78 1 #Up
            78   78  79 1
            79   74  80 1 #Up
            80   81  80 1 #Down
            81   81  82 1
            82   82  83 1
            83   83  84 1
            84   84  85 1
            85   85  86 1
            86   81  86 1
            87   83  87 1 #Up
            88   86  88 1 #Up
            89   85  89 1 #Up
            90   84  90 1 #Down
            91   87  91 1
            92   92  89 1 #Up
            93   92  93 1
            94   93  94 1
            95   94  95 1
            96   95  96 1
            97   96  97 1
            98   92  97 1
            99   93  98 1 #Down
            100  94  99 1 #Down
            101  96 100 1 #Down
            102  95 101 1 #Up
            103 100 102 1
            104 103 104 1
            105 104 105 1
            106 104 106 1
            107 104 107 2
            108 105 108 1
            109 108 109 1
            110 108 110 1
            111 108 111 2
            112 112 109 1 #Down
            113 112 113 1
            114 113 114 1
            115 114 115 1
            116 115 116 1
            117 116 117 1
            118 112 117 1
            119 114 118 1 #Up
            120 116 119 1 #Up
            121 115 120 1 #Down
            122 117 121 1 #Down
            123 118 122 1
            124 121 123 1
            125 123 124 2
            126 123 125 1
            127 136 137 1
            128 137 138 1
            129 138 139 2
            130 138 140 1
            131 139 141 1
            132 134 136 1
            133 132 133 1
            134 133 134 2
            135 141 142 1
            136 142 143 1
            137 143 144 2
            138 143 145 1
            139 144 131 1
            140 133 135 1
            141  70 119 1 #Down
            142  63  98 1 #Down
            143  52  65 1 #Down
            144  38  55 1 #Down
            145  42 146 1 #Up
            146  27 146 1 #Up
            147  20  33 1 #Up
            148   5  24 1 #Down
            149   1  12 1
            150 127 128 1
            151 127 126 1
            152 129 130 1
            153 130 127 2
            154 103 129 1
            155 148 149 1
            156 148 147 1
            157 150 151 1
            158 151 148 2
            159 126 150 1
            160 153 154 1
            161 153 152 1
            162 155 156 1
            163 156 153 2
            164 147 155 1
            165 158 159 1
            166 158 157 1
            167 160 161 1
            168 161 158 2
            169 152 160 1
            170 163 164 1
            171 163 162 1
            172 165 166 1
            173 166 163 2
            174 157 165 1
            175 168 169 1
            176 168 167 1
            177 170 171 1
            178 171 168 2
            179 162 170 1
            180 173 174 1
            181 173 172 1
            182 175 176 1
            183 176 173 2
            184 167 175 1
            185 178 179 1
            186 178 177 1
            187 180 181 1
            188 181 178 2
            189 172 180 1
            190 177 131 1
BRACKET     1    47.8800  -19.4600   47.8800  -14.2800
            1    50.8200  -14.2800   50.8200  -19.4600
            1  8
 ORIGINAL  1  126 127 128 129 130
 REPEAT    1  147 148 149 150 151 152 153 154 155 156 157 158 159 160 161 162
            1  163 164 165 166 167 168 169 170 171 172 173 174 175 176 177 178
            1  179 180 181
            2    20.7900  -54.4600   20.7900  -34.4400
            2    32.7600  -34.1600   32.7600  -54.4600
            2  n
 ORIGINAL  2   27  28  29  30  31  32  34  35  36  37  38  39  40  41  42  43
            2   44  45  46  47  48  49  50  51  52  53  54  55  56  57  58  59
            2   60  61  62  63  64  65  66  67  68  69  98 146
 REPEAT    2

» Japanese version

DBGET integrated database retrieval system