KEGG   COMPOUND: C21010
Entry
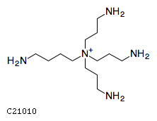
C21010                      Compound                               
Name
N4-Bis(aminopropyl)spermidine
Formula
C13H34N5
Exact mass
260.2814
Mol weight
260.44
Structure
Reaction
Enzyme
Other DBs
PubChem: 254741468
PDB-CCD: B5L[PDBj]
LinkDB
KCF data

ATOM        18
            1   C1b C    18.0188  -18.6199
            2   N1d N    19.2208  -17.9197 #+
            3   C1b C    16.8052  -17.9197
            4   C1b C    20.4344  -18.6199
            5   C1b C    15.5915  -18.6199
            6   C1b C    21.6481  -17.9197
            7   C1b C    14.3779  -17.9197
            8   C1b C    22.8616  -18.6199
            9   N1a N    13.1643  -18.6199
            10  N1a N    24.0752  -17.9197
            11  C1b C    19.2208  -16.5197
            12  C1b C    20.4332  -15.8197
            13  C1b C    20.4332  -14.4197
            14  N1a N    21.6456  -13.7197
            15  C1b C    19.2208  -19.3197
            16  C1b C    20.4333  -20.0197
            17  C1b C    20.4333  -21.4197
            18  N1a N    21.6457  -22.1197
BOND        17
            1     1   2 1
            2     1   3 1
            3     2   4 1
            4     3   5 1
            5     4   6 1
            6     5   7 1
            7     6   8 1
            8     7   9 1
            9     8  10 1
            10    2  11 1
            11   11  12 1
            12   12  13 1
            13   13  14 1
            14    2  15 1
            15   15  16 1
            16   16  17 1
            17   17  18 1

» Japanese version

DBGET integrated database retrieval system