KEGG   COMPOUND: C21101
Entry
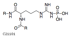
C21101                      Compound                               
Name
Protein N(omega)-phospho-L-arginine;
[Protein]-N(omega)-phospho-L-arginine
Formula
C7H14N5O5PR2
Structure
Reaction
Enzyme
2.7.14.1        3.9.1.2
Other DBs
PubChem: 312642070
LinkDB
KCF data

ATOM        20
            1   N1b N    14.4902  -15.4703
            2   C5a C    15.7026  -14.7703
            3   C1c C    16.9152  -15.4703
            4   C1b C    18.1276  -14.7703
            5   C1b C    19.3400  -15.4703
            6   C1b C    20.5525  -14.7703
            7   N1b N    21.7649  -15.4703
            8   C2c C    22.9773  -14.7703
            9   N1b N    24.1899  -15.4703
            10  R   R    13.0902  -15.4703
            11  O5a O    15.7026  -13.3705
            12  N1b N    16.9152  -16.8701
            13  C5a C    16.9152  -18.2701
            14  O5a O    15.7215  -18.9594
            15  R   R    18.1465  -18.9811
            16  N2a N    22.9773  -13.3704
            17  P1b P    25.5899  -15.4703
            18  O1c O    26.9899  -15.4703
            19  O1c O    25.5899  -14.0703
            20  O1c O    25.5899  -16.8703
BOND        19
            1     1   2 1
            2     2   3 1
            3     3   4 1
            4     4   5 1
            5     5   6 1
            6     6   7 1
            7     7   8 1
            8     8   9 1
            9     1  10 1
            10    2  11 2
            11    3  12 1 #Down
            12   12  13 1
            13   13  14 2
            14   13  15 1
            15    8  16 2
            16    9  17 1
            17   17  18 1
            18   17  19 2
            19   17  20 1

» Japanese version

DBGET integrated database retrieval system