KEGG   COMPOUND: C21120
Entry
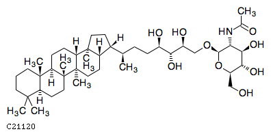
C21120                      Compound                               
Name
Bacteriohopanetetrol-acetylglucosamine
Formula
C43H75NO9
Exact mass
749.5442
Mol weight
750.06
Structure
Reaction
Brite
Lipids [BR:br08002]
 PR  Prenol lipids
  PR04 Hopanoids
   C21120  Bacteriohopanetetrol-acetylglucosamine
Other DBs
PubChem: 312642089
LinkDB
KCF data

ATOM        53
            1   C1y C    12.5372  -15.9228
            2   C1z C    13.8214  -16.6362
            3   C1z C    11.3244  -16.6362
            4   C1x C    12.5372  -14.4961
            5   C1z C    15.0341  -15.9228
            6   C1x C    13.8214  -18.0630
            7   C1a C    13.7499  -15.6375
            8   C1y C    11.3244  -18.0630
            9   C1x C    10.1117  -15.9228
            10  C1a C    11.3244  -15.2093
            11  C1x C    13.8214  -13.7826
            12  C1y C    15.0341  -14.4961
            13  C1x C    16.2469  -16.6362
            14  C1a C    15.0341  -17.3496
            15  C1x C    12.5372  -18.7763
            16  C1z C    10.1117  -18.7763
            17  C1x C     8.8990  -16.6362
            18  C1z C    16.2469  -13.8540
            19  C1x C    17.4596  -15.9942
            20  C1x C     8.8990  -18.0630
            21  C1a C     9.6123  -20.2031
            22  C1a C    10.7537  -20.2031
            23  C1y C    17.4596  -14.5673
            24  C1a C    16.1042  -14.8527
            25  C1y C    18.5298  -13.6399
            26  C1x C    17.9591  -12.3558
            27  C1x C    16.6035  -12.4272
            28  C1c C    19.8139  -14.3533
            29  C1b C    21.0266  -13.6399
            30  C1a C    19.8139  -15.7800
            31  C1b C    22.3107  -14.3533
            32  C1c C    23.5089  -13.6348
            33  C1c C    24.7335  -14.3152
            34  C1c C    25.9746  -13.5715
            35  C1b C    27.1929  -14.2490
            36  O2a O    28.4059  -13.5221
            37  O1a O    23.4857  -12.2423
            38  O1a O    25.9519  -12.1720
            39  O1a O    24.7566  -15.6886
            40  C1y C    29.6351  -14.2054
            41  O2x O    29.5879  -15.6092
            42  C1y C    30.8116  -16.2894
            43  C1y C    32.0125  -15.5697
            44  C1y C    31.9896  -14.1660
            45  C1y C    30.7660  -13.4858
            46  C1b C    30.8349  -17.7096
            47  O1a O    33.2022  -13.4396
            48  N1b N    30.7257  -12.1120
            49  O1a O    33.2064  -16.2330
            50  C5a C    31.9382  -11.4120
            51  O5a O    33.1361  -12.1037
            52  C1a C    31.9383  -10.0101
            53  O1a O    32.0319  -18.3752
BOND        58
            1     1   2 1
            2     1   3 1
            3     1   4 1
            4     2   5 1
            5     2   6 1
            6     2   7 1 #Up
            7     3   8 1
            8     3   9 1
            9     3  10 1 #Up
            10    4  11 1
            11    5  12 1
            12    5  13 1
            13    5  14 1 #Down
            14    6  15 1
            15    8  16 1
            16    9  17 1
            17   12  18 1
            18   13  19 1
            19   16  20 1
            20   16  21 1
            21   16  22 1
            22   18  23 1
            23   18  24 1 #Down
            24    8  15 1
            25   11  12 1
            26   17  20 1
            27   19  23 1
            28   23  25 1
            29   25  26 1
            30   26  27 1
            31   18  27 1
            32   25  28 1
            33   28  29 1
            34   28  30 1 #Up
            35   29  31 1
            36   31  32 1
            37   32  33 1
            38   33  34 1
            39   34  35 1
            40   35  36 1
            41   32  37 1 #Up
            42   34  38 1 #Up
            43   33  39 1 #Down
            44   40  36 1 #Up
            45   40  41 1
            46   41  42 1
            47   42  43 1
            48   43  44 1
            49   44  45 1
            50   40  45 1
            51   42  46 1 #Up
            52   44  47 1 #Up
            53   45  48 1 #Down
            54   43  49 1 #Down
            55   48  50 1
            56   50  51 2
            57   50  52 1
            58   46  53 1

» Japanese version

DBGET integrated database retrieval system