| Entry |
|
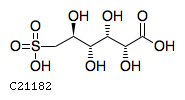
| Name |
6-Deoxy-6-sulfo-D-gluconate;
6-Deoxy-6-sulfogluconate
|
| Formula |
C6H12O9S
|
| Exact mass |
260.0202
|
| Mol weight |
260.22
|
| Structure |

|
| Reaction |
|
| Pathway |
|
| Module |
| M01050 | Sulfoquinovose degradation, sulfoglycolytic Entner-Doudoroff pathway, sulfoquinovose => (S)-3-sulfolactate |
|
| Enzyme |
|
| Other DBs |
|
| LinkDB |
|
| KCF data |
ATOM 16
1 C1b C 16.4000 -16.5203
2 C1c C 17.6126 -15.8203
3 C1c C 18.8250 -16.5203
4 C1c C 20.0374 -15.8203
5 C1c C 21.2500 -16.5203
6 C6a C 22.4624 -15.8203
7 O6a O 23.6749 -16.5203
8 O6a O 22.4624 -14.4203
9 O1a O 21.2500 -17.9201
10 O1a O 18.8250 -17.9204
11 O1a O 17.6126 -14.4206
12 S4a S 15.0000 -16.5203
13 O1d O 15.0000 -15.1203
14 O1d O 13.6000 -16.5203
15 O1d O 15.0000 -17.9204
16 O1a O 20.0374 -14.4201
BOND 15
1 1 2 1
2 2 3 1
3 3 4 1
4 4 5 1
5 5 6 1
6 6 7 1
7 6 8 2
8 5 9 1 #Down
9 3 10 1 #Down
10 2 11 1 #Up
11 1 12 1
12 12 13 2
13 12 14 2
14 12 15 1
15 4 16 1 #Down
|