KEGG   COMPOUND: C21198
Entry
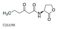
C21198                      Compound                               
Name
N-(3-Oxohexanoyl)-L-homoserine lactone;
3-Oxo-C6-HSL;
N-(beta-Ketocaproyl)-L-homoserine lactone
Formula
C10H15NO4
Exact mass
213.1001
Mol weight
213.23
Structure
Pathway
map02024  Quorum sensing
Brite
Lipids [BR:br08002]
 FA  Fatty acyls
  FA08 Fatty amides
   FA0803 Fatty acyl homoserine lactones
    C21198  N-(3-Oxohexanoyl)-L-homoserine lactone
Other DBs
CAS: 143537-62-6
PubChem: 316933496
LIPIDMAPS: LMFA08030003
PDB-CCD: 482[PDBj]
LinkDB
KCF data

ATOM        15
            1   C1y C    21.6987  -15.8234
            2   C1x C    22.0586  -14.4088
            3   C1x C    23.4484  -14.4055
            4   O7x O    23.9474  -15.7049
            5   C7x C    22.8661  -16.5811
            6   C1b C    18.0610  -16.5060
            7   C5a C    19.2780  -15.8124
            8   N1b N    20.4873  -16.5196
            9   O6a O    22.8582  -17.9854
            10  O5a O    19.2642  -14.4124
            11  C5a C    16.8781  -15.7817
            12  C1b C    15.6632  -16.4829
            13  C1b C    14.4825  -15.7676
            14  C1a C    13.2686  -16.4684
            15  O5a O    16.8968  -14.3503
BOND        15
            1     3   4 1
            2     4   5 1
            3     5   1 1
            4     6   7 1
            5     7   8 1
            6     1   8 1 #Up
            7     1   2 1
            8     5   9 2
            9     7  10 2
            10    2   3 1
            11    6  11 1
            12   11  12 1
            13   12  13 1
            14   13  14 1
            15   11  15 2

» Japanese version

DBGET integrated database retrieval system