KEGG   COMPOUND: C21305
Entry
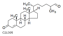
C21305                      Compound                               
Name
(25R)-26-Oxocholest-4-en-3-one
Formula
C27H42O2
Exact mass
398.3185
Mol weight
398.62
Structure
Reaction
Enzyme
Other DBs
PubChem: 318172284
LinkDB
KCF data

ATOM        29
            1   C1y C    17.9714  -16.8525
            2   C1y C    16.7826  -17.5518
            3   C1z C    17.9714  -15.4540
            4   C1x C    20.2790  -16.8525
            5   C1y C    15.5938  -16.8525
            6   C1x C    16.7826  -18.8804
            7   C1y C    19.1601  -14.8246
            8   C1x C    16.7826  -14.8246
            9   C1a C    17.9714  -14.1254
            10  C1x C    20.2790  -15.4540
            11  C1z C    14.4051  -17.5518
            12  C1x C    15.5938  -15.4540
            13  C1x C    15.5938  -19.5797
            14  C1c C    19.1601  -13.4261
            15  C2y C    14.4051  -18.8804
            16  C1x C    13.2862  -16.8525
            17  C1a C    14.4051  -16.1533
            18  C1b C    20.3489  -12.7967
            19  C1a C    17.9014  -12.7967
            20  C2x C    13.2862  -19.5797
            21  C1x C    12.0975  -17.5518
            22  C1b C    21.5377  -13.4960
            23  C5x C    12.0975  -18.8804
            24  C1b C    22.7264  -12.7967
            25  O5x O    10.9087  -19.5797
            26  C1c C    23.9152  -13.4960
            27  C4a C    25.1040  -12.7967
            28  C1a C    23.9152  -14.8246
            29  O4a O    26.2927  -13.4960
BOND        32
            1     1   4 1
            2     2   5 1
            3     2   6 1
            4     3   7 1
            5     3   8 1
            6     3   9 1 #Up
            7     4  10 1
            8     5  11 1
            9     5  12 1
            10    6  13 1
            11    7  14 1
            12   11  15 1
            13   11  16 1
            14   11  17 1 #Up
            15   14  18 1
            16   14  19 1 #Down
            17   15  20 2
            18   16  21 1
            19   18  22 1
            20   20  23 1
            21   22  24 1
            22   23  25 2
            23   24  26 1
            24   26  27 1
            25   26  28 1 #Down
            26    7  10 1
            27    8  12 1
            28   13  15 1
            29   21  23 1
            30    1   2 1
            31    1   3 1
            32   27  29 2

» Japanese version

DBGET integrated database retrieval system