KEGG   COMPOUND: C21316
Entry
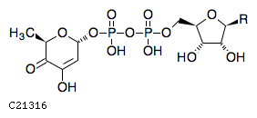
C21316                      Compound                               
Name
NDP-2,6-dideoxy-D-glycero-hex-2-enos-4-ulose
Formula
C11H17O13P2R
Structure
Reaction
Pathway
map01059  Biosynthesis of enediyne antibiotics
map01110  Biosynthesis of secondary metabolites
Other DBs
PubChem: 319902563
LinkDB
KCF data

ATOM        27
            1   C1y C    25.4381  -14.1954
            2   R   R    26.7855  -13.7543
            3   O2x O    24.3498  -13.3894
            4   C1y C    25.0263  -15.5663
            5   C1y C    23.2024  -14.2246
            6   C1y C    23.6260  -15.5663
            7   C1b C    21.8665  -13.7952
            8   O1a O    22.7906  -16.6895
            9   O2b O    20.8721  -14.7722
            10  P1b P    19.4717  -14.7722
            11  O2c O    18.0715  -14.7722
            12  O1c O    19.4659  -16.1723
            13  O1c O    19.4659  -13.3717
            14  P1b P    16.6769  -14.7663
            15  O2b O    15.2708  -14.7663
            16  O1c O    16.6652  -16.1606
            17  O1c O    16.6652  -13.3660
            18  C1y C    14.0588  -15.4599
            19  O2x O    12.8526  -14.7663
            20  C2x C    14.0588  -16.8600
            21  C1y C    11.6408  -15.4599
            22  C2y C    12.8526  -17.5610
            23  C5x C    11.6408  -16.8600
            24  C1a C    10.4288  -14.7663
            25  O1a O    12.8526  -18.9613
            26  O5x O    10.4288  -17.5610
            27  O1a O    25.8608  -16.6883
BOND        28
            1     1   2 1 #Up
            2     1   3 1
            3     1   4 1
            4     3   5 1
            5     4   6 1
            6     5   7 1 #Up
            7     6   8 1 #Down
            8     7   9 1
            9     9  10 1
            10   10  11 1
            11   10  12 1
            12   10  13 2
            13   11  14 1
            14   14  15 1
            15   14  16 1
            16   14  17 2
            17   18  15 1 #Down
            18   18  19 1
            19   18  20 1
            20   19  21 1
            21   20  22 2
            22   21  23 1
            23   21  24 1 #Up
            24   22  25 1
            25   23  26 2
            26    5   6 1
            27   22  23 1
            28    4  27 1 #Down

» Japanese version

DBGET integrated database retrieval system