| Entry |
|
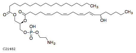
| Name |
1-Octadecanoyl-2-(15S-hydroxy-5Z,8Z,11Z,13E-eicosatetraenoyl)-sn-glycero-3-phosphoethanolamine;
18:0/15-HETE-PE
|
| Formula |
C43H78NO9P
|
| Exact mass |
783.5414
|
| Mol weight |
784.05
|
| Structure |

|
| Pathway |
|
| Brite |
Lipids [BR:br08002]
GP Glycerophospholipids
GP20 Oxidized glycerophospholipids
GP2002 Oxidized glycerophosphoethanolamines
C21482 1-Octadecanoyl-2-(15S-hydroxy-5Z,8Z,11Z,13E-eicosatetraenoyl)-sn-glycero-3-phosphoethanolamine
|
| Other DBs |
|
| LinkDB |
|
| KCF data |
ATOM 54
1 C1c C 18.7352 -20.2781
2 C1b C 18.7352 -21.6808
3 C1b C 17.4728 -19.5768
4 O7a O 19.9275 -19.5768
5 O2b O 19.9275 -22.3821
6 O7a O 17.4728 -18.1741
7 C7a C 19.9275 -18.1741
8 P1b P 21.3301 -22.3821
9 C7a C 16.2805 -17.4728
10 O6a O 18.7352 -17.4728
11 C1b C 21.1197 -17.4728
12 O2b O 22.7328 -22.3821
13 O1c O 21.3301 -20.9795
14 O1c O 21.3301 -23.7848
15 O6a O 15.0882 -18.1741
16 C1b C 16.2805 -16.0701
17 C1b C 23.4341 -23.5744
18 C1b C 24.8368 -23.5744
19 N1a N 25.5382 -24.7667
20 C1b C 17.4728 -15.3688
21 C1b C 18.7352 -16.0701
22 C1b C 19.9275 -15.3688
23 C1b C 21.1197 -16.0701
24 C1b C 22.3821 -15.3688
25 C1b C 23.5744 -16.0701
26 C1b C 24.7667 -15.3688
27 C1b C 26.0291 -16.0701
28 C1b C 27.2214 -15.3688
29 C1b C 28.4136 -16.0701
30 C1b C 29.6059 -15.3688
31 C1b C 30.8683 -16.0701
32 C1b C 32.0606 -15.3688
33 C1b C 33.2529 -16.0701
34 C2b C 28.6240 -18.1741
35 C2b C 30.0267 -18.1741
36 C1b C 27.4318 -17.4728
37 C1b C 31.2190 -17.4728
38 C2b C 26.1694 -18.1741
39 C2b C 32.4814 -18.1741
40 C2b C 24.7667 -18.1741
41 C2b C 33.8841 -18.1741
42 C1b C 23.5744 -17.4728
43 C2b C 35.0763 -17.4728
44 C1b C 22.3821 -18.1741
45 C2b C 36.2686 -18.1741
46 C1c C 37.6713 -18.1741
47 C1b C 38.9337 -17.4728
48 C1b C 40.1260 -18.1741
49 C1b C 41.3182 -17.4728
50 C1b C 42.5105 -18.1741
51 C1a C 43.7729 -17.4728
52 C1b C 34.4733 -15.3787
53 C1a C 35.6569 -16.0751
54 O1a O 38.0283 -19.5507
BOND 53
1 1 2 1
2 1 3 1
3 1 4 1 #Up
4 2 5 1
5 3 6 1
6 4 7 1
7 5 8 1
8 6 9 1
9 7 10 2
10 7 11 1
11 8 12 1
12 8 13 1
13 8 14 2
14 9 15 2
15 9 16 1
16 12 17 1
17 17 18 1
18 18 19 1
19 16 20 1
20 20 21 1
21 21 22 1
22 22 23 1
23 23 24 1
24 24 25 1
25 25 26 1
26 26 27 1
27 27 28 1
28 28 29 1
29 29 30 1
30 30 31 1
31 31 32 1
32 32 33 1
33 34 35 2
34 34 36 1
35 35 37 1
36 36 38 1
37 37 39 1
38 38 40 2
39 39 41 2
40 40 42 1
41 41 43 1
42 42 44 1
43 43 45 2
44 44 11 1
45 45 46 1
46 46 47 1
47 47 48 1
48 48 49 1
49 49 50 1
50 50 51 1
51 33 52 1
52 52 53 1
53 46 54 1 #Down
|