KEGG   COMPOUND: C22177
Entry
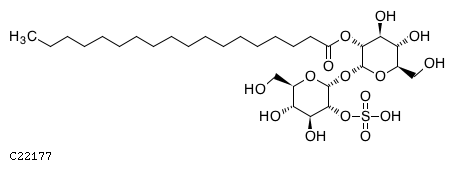
C22177                      Compound                               
Name
2-O-Sulfo-2'-stearoyl-alpha,alpha-trehalose
Formula
C30H56O15S
Exact mass
688.3340
Mol weight
688.82
Structure
Reaction
Enzyme
Brite
Lipids [BR:br08002]
 SL  Saccharolipids
  SL03 Acyltrehaloses
   C22177  2-O-Sulfo-2'-stearoyl-alpha,alpha-trehalose
Other DBs
PubChem: 405226368
LinkDB
KCF data

ATOM        46
            1   C1y C    27.8305  -15.4941
            2   O2a O    26.6392  -16.1949
            3   O2x O    29.0919  -16.1949
            4   C1y C    27.8305  -14.0926
            5   C1y C    25.4479  -16.8957
            6   C1y C    30.2832  -15.4941
            7   C1y C    29.0919  -13.3918
            8   O7a O    26.6392  -13.3918
            9   O2x O    24.1865  -16.1949
            10  C1y C    25.4479  -18.2972
            11  C1y C    30.2832  -14.0926
            12  C1b C    31.4745  -16.1949
            13  O1a O    29.0919  -11.9903
            14  C1y C    22.9952  -16.8957
            15  C1y C    24.1865  -18.9980
            16  O2a O    26.6392  -18.9980
            17  O1a O    31.4745  -13.3918
            18  O1a O    32.5257  -15.2839
            19  C1y C    22.9952  -18.2972
            20  C1b C    21.8039  -16.1949
            21  O1a O    24.1865  -20.3995
            22  O1a O    21.8039  -18.9980
            23  O1a O    20.7527  -17.1059
            24  S4a S    28.0407  -18.9980
            25  O1d O    28.0407  -20.3995
            26  O1d O    28.0407  -17.5965
            27  O1d O    29.4423  -18.9980
            28  C7a C    25.4479  -14.0926
            29  C1b C    24.1865  -13.3918
            30  C1b C    22.9952  -14.0926
            31  C1b C    21.8039  -13.3918
            32  C1b C    20.5425  -14.0926
            33  C1b C    19.3512  -13.3918
            34  C1b C    18.1598  -14.0926
            35  C1b C    16.8985  -13.3918
            36  C1b C    15.7071  -14.0926
            37  C1b C    14.5158  -13.3918
            38  C1b C    13.2544  -14.0926
            39  C1b C    12.0631  -13.3918
            40  C1b C    10.8718  -14.0926
            41  C1b C     9.6805  -13.3918
            42  C1b C     8.4191  -14.0926
            43  C1b C     7.2278  -13.3918
            44  O6a O    25.4479  -15.4941
            45  C1b C     6.0365  -14.0926
            46  C1a C     4.7751  -13.3918
BOND        47
            1     1   2 1 #Down
            2     1   3 1
            3     1   4 1
            4     5   2 1 #Down
            5     3   6 1
            6     4   7 1
            7     4   8 1 #Down
            8     5   9 1
            9     5  10 1
            10    6  11 1
            11    6  12 1 #Up
            12    7  13 1 #Up
            13    9  14 1
            14   10  15 1
            15   10  16 1 #Down
            16   11  17 1 #Down
            17   12  18 1
            18   14  19 1
            19   14  20 1 #Up
            20   15  21 1 #Up
            21   19  22 1 #Down
            22   20  23 1
            23    7  11 1
            24   15  19 1
            25   16  24 1
            26   24  25 2
            27   24  26 2
            28   24  27 1
            29    8  28 1
            30   28  29 1
            31   29  30 1
            32   30  31 1
            33   31  32 1
            34   32  33 1
            35   33  34 1
            36   34  35 1
            37   35  36 1
            38   36  37 1
            39   37  38 1
            40   38  39 1
            41   39  40 1
            42   40  41 1
            43   41  42 1
            44   42  43 1
            45   28  44 2
            46   43  45 1
            47   45  46 1

» Japanese version

DBGET integrated database retrieval system