KEGG   COMPOUND: C22428
Entry
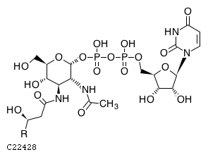
C22428                      Compound                               
Name
UDP-2-acetamido-2,3-dideoxy-3-{[(3R)-3-hydroxyacyl]amino}-alpha-D-glucopyranose;
UDP-3-N-[(3R)-3-hydroxyacyl]-GlcNAc3N
Formula
C20H31N4O18P2R
Structure
Comment
Generic compound in reaction hierarchy
Reaction
Enzyme
Other DBs
PubChem: 497619787
LinkDB
KCF data

ATOM        45
            1   C1y C    25.3250  -16.4403
            2   N4y N    26.3744  -14.2016
            3   O2x O    24.2057  -15.6008
            4   C1y C    24.9052  -17.6995
            5   C8y C    25.2550  -13.5020
            6   C8x C    27.6336  -13.5020
            7   C1y C    23.0863  -16.3703
            8   C1y C    23.5760  -17.6995
            9   O1a O    25.7447  -18.8188
            10  N4x N    25.2550  -12.1028
            11  O5x O    24.0657  -14.2016
            12  C8x C    27.6336  -12.1028
            13  C1b C    21.8271  -16.0205
            14  O1a O    22.7365  -18.8188
            15  C8y C    26.4443  -11.4032
            16  O2b O    21.5472  -14.6213
            17  O5x O    26.4443  -10.0740
            18  P1b P    20.1481  -14.6213
            19  O2c O    18.8188  -14.6213
            20  O1c O    20.1481  -13.2921
            21  O1c O    20.1481  -16.0205
            22  P1b P    17.4197  -14.6213
            23  O2b O    16.0205  -14.6213
            24  O1c O    17.4197  -13.2921
            25  O1c O    17.4197  -16.0205
            26  C1y C    14.8312  -15.3209
            27  C1y C    14.8312  -16.7201
            28  O2x O    13.6419  -14.6213
            29  C1y C    13.6419  -17.3497
            30  N1b N    16.3003  -17.8394
            31  C1y C    12.4526  -15.3209
            32  C1y C    12.4526  -16.7201
            33  N1b N    13.6419  -18.7489
            34  C5a C    16.7201  -19.0987
            35  C1b C    11.3333  -14.6213
            36  O1a O    11.3333  -17.3497
            37  C1a C    18.0493  -19.2386
            38  O5a O    15.8806  -20.1481
            39  O1a O    10.2839  -15.5308
            40  C5a C    12.3127  -19.1686
            41  C1b C    11.8930  -20.4979
            42  C1c C    10.5637  -20.8476
            43  R   R    10.2139  -22.2468
            44  O5a O    11.5432  -18.3991
            45  O1a O     9.5843  -19.8682
BOND        47
            1     1   2 1 #Up
            2     1   3 1
            3     1   4 1
            4     2   5 1
            5     2   6 1
            6     3   7 1
            7     4   8 1
            8     4   9 1 #Down
            9     5  10 1
            10    5  11 2
            11    6  12 2
            12    7  13 1 #Up
            13    8  14 1 #Down
            14   10  15 1
            15   13  16 1
            16   15  17 2
            17   16  18 1
            18   18  19 1
            19   18  20 1
            20   18  21 2
            21   19  22 1
            22   22  23 1
            23   22  24 1
            24   22  25 2
            25   26  23 1 #Down
            26   26  27 1
            27   26  28 1
            28   27  29 1
            29   27  30 1 #Down
            30   28  31 1
            31   29  32 1
            32   29  33 1 #Up
            33   30  34 1
            34   31  35 1 #Up
            35   32  36 1 #Down
            36   34  37 1
            37   34  38 2
            38   35  39 1
            39    7   8 1
            40   12  15 1
            41   31  32 1
            42   33  40 1
            43   40  41 1
            44   41  42 1
            45   42  43 1
            46   40  44 2
            47   42  45 1 #Up

» Japanese version

DBGET integrated database retrieval system