| Entry |
|
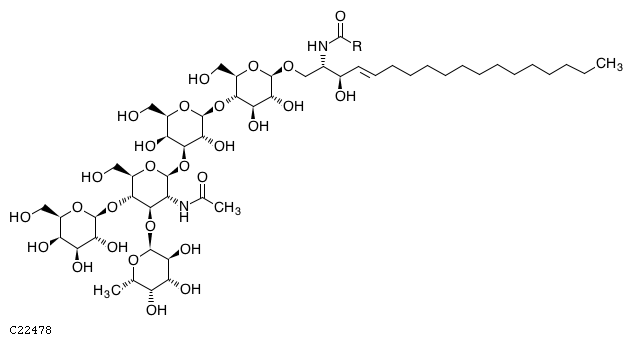
| Name |
III3Fuc-nLc4Cer;
Lacto-N-fucopentaosyl III ceramide;
LNF III cer;
SSEA-1;
Gal-beta1->4(Fuc-alpha1->3)GlcNAc-beta1->3Gal-beta1->4Glc-beta1->1'Cer
|
| Formula |
C51H89N2O27R
|
| Structure |

|
| Remark |
|
| Pathway |
| map00601 | Glycosphingolipid biosynthesis - lacto and neolacto series |
|
| Network |
nt06035 Blood group carbohydrate antigen biosynthesis |
| Brite |
Lipids [BR:br08002]
SP Sphingolipids
SP05 Neutral glycosphingolipids
SP0505 Galbeta1-4GlcNAcbeta1-3Galbeta1-4Glc- (Neolacto series)
G00060 Gal-beta1->4(Fuc-alpha1->3)GlcNAc-beta1->3Gal-beta1->4Glc-beta1->1'Cer (SSEA-1)
Blood groups and carbohydrate antigens [br08110.html]
Lewis blood group
G00060
Glycan epitopes [br08111.html]
G00060
|
| Other DBs |
|
| LinkDB |
|
| KCF data |
ATOM 81
1 C1y C 21.6516 -30.0060
2 C1y C 22.8743 -30.7498
3 C1y C 24.0692 -29.9579
4 C1y C 24.1114 -28.5620
5 C1y C 22.8187 -27.8882
6 O2x O 21.6238 -28.6102
7 O1a O 25.2549 -27.8290
8 O1a O 25.2917 -30.6316
9 O1a O 22.9021 -32.1456
10 C1a C 20.4567 -30.7279
11 C1c C 34.9081 -15.0528
12 C1c C 36.1410 -15.7369
13 N1b N 34.9081 -13.6490
14 C1b C 33.6984 -15.7663
15 C2b C 37.3493 -15.0294
16 O1a O 36.1410 -17.1467
17 C5a C 36.0930 -12.9354
18 O2a O 32.4770 -15.0762
19 C2b C 38.5707 -15.7136
20 O5a O 36.0930 -11.5373
21 R R 37.3142 -13.6255
22 C1b C 39.7862 -15.0060
23 C1b C 41.0064 -15.6904
24 C1b C 42.2218 -14.9825
25 C1b C 43.4433 -15.6669
26 C1b C 44.6573 -14.9591
27 C1b C 45.8788 -15.6366
28 C1b C 47.0942 -14.9229
29 C1b C 48.3214 -15.6131
30 C1b C 49.5297 -14.8995
31 C1b C 50.7569 -15.5898
32 C1b C 51.9666 -14.8761
33 C1b C 53.1925 -15.5664
34 C1a C 54.4023 -14.8526
35 C1y C 24.0142 -22.7710
36 C1y C 24.0142 -24.1746
37 O2a O 25.2234 -22.0718
38 O2x O 22.7864 -22.0718
39 C1y C 22.7864 -24.8865
40 N1b N 25.2234 -24.8679
41 C1y C 25.2234 -20.6739
42 C1y C 21.5902 -22.7710
43 C1y C 21.5902 -24.1746
44 O2a O 22.7864 -26.2775
45 C1y C 26.4383 -19.9691
46 C1y C 24.0142 -19.9691
47 C1b C 20.3808 -22.0718
48 O2a O 20.1651 -24.9379
49 C1y C 26.4383 -18.5583
50 O1a O 27.6475 -20.6610
51 C1y C 24.0142 -18.5583
52 O1a O 22.8051 -20.6551
53 C1y C 18.9690 -25.6368
54 O2a O 27.6475 -17.8593
55 O2x O 25.2234 -17.8593
56 C1b C 22.8051 -17.8593
57 O2x O 17.7409 -24.9438
58 C1y C 18.9690 -27.0406
59 C1y C 28.8567 -17.1601
60 C1y C 16.5317 -25.6368
61 C1y C 17.7409 -27.7585
62 O1a O 20.1708 -27.7396
63 C1y C 28.8567 -15.7624
64 C1y C 30.0528 -17.8593
65 C1y C 16.5317 -27.0406
66 C1b C 15.3228 -24.9438
67 O1a O 17.7409 -29.1435
68 O2x O 30.0528 -15.0762
69 C1b C 27.6604 -15.0762
70 C1y C 31.2807 -17.1601
71 O1a O 30.0528 -19.2572
72 O1a O 15.3228 -27.7396
73 C1y C 31.2807 -15.7624
74 O1a O 26.6026 -15.9700
75 O1a O 32.4770 -17.8593
76 C5a C 26.4672 -24.2023
77 C1a C 27.6788 -24.9017
78 O5a O 26.4672 -22.8041
79 O1a O 21.6047 -18.5513
80 O1a O 19.1390 -22.7874
81 O1a O 14.1017 -25.6535
BOND 85
1 1 2 1
2 2 3 1
3 3 4 1
4 4 5 1
5 5 6 1
6 1 6 1
7 4 7 1 #Up
8 3 8 1 #Down
9 2 9 1 #Down
10 1 10 1 #Down
11 33 34 1
12 11 12 1
13 11 13 1 #Down
14 11 14 1
15 12 15 1
16 12 16 1 #Up
17 13 17 1
18 14 18 1
19 15 19 2
20 17 20 2
21 17 21 1
22 19 22 1
23 22 23 1
24 23 24 1
25 24 25 1
26 25 26 1
27 26 27 1
28 27 28 1
29 28 29 1
30 29 30 1
31 30 31 1
32 31 32 1
33 32 33 1
34 35 36 1
35 35 37 1 #Up
36 35 38 1
37 36 39 1
38 36 40 1 #Down
39 41 37 1 #Up
40 38 42 1
41 39 43 1
42 39 44 1 #Up
43 41 45 1
44 41 46 1
45 42 47 1 #Up
46 43 48 1 #Down
47 45 49 1
48 45 50 1 #Down
49 46 51 1
50 46 52 1 #Up
51 53 48 1 #Up
52 49 54 1 #Up
53 49 55 1
54 51 56 1 #Up
55 53 57 1
56 53 58 1
57 59 54 1 #Down
58 57 60 1
59 58 61 1
60 58 62 1 #Down
61 59 63 1
62 59 64 1
63 60 65 1
64 60 66 1 #Up
65 61 67 1 #Up
66 63 68 1
67 63 69 1 #Up
68 64 70 1
69 64 71 1 #Up
70 65 72 1 #Up
71 68 73 1
72 69 74 1
73 70 75 1 #Down
74 73 18 1 #Up
75 42 43 1
76 51 55 1
77 61 65 1
78 70 73 1
79 40 76 1
80 76 77 1
81 76 78 2
82 56 79 1
83 47 80 1
84 66 81 1
85 5 44 1 #Up
|