Entry |
|
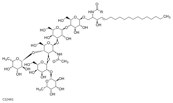
Name |
IV2Fuc,III4Fuc-Lc4Cer;
Leb glycolipid;
Fuc-alpha1->4(Fuc-alpha1->2Gal-beta1->3)GlcNAc-beta1->3LacCer;
Fuc-alpha1->4(Fuc-alpha1->2Gal-beta1->3)GlcNAc-beta1->3Gal-beta1->4Glc-beta1->1'Cer
|
Formula |
C57H99N2O31R
|
Structure |

|
Remark |
|
Pathway |
map00601 | Glycosphingolipid biosynthesis - lacto and neolacto series |
|
Network |
nt06035 Blood group carbohydrate antigen biosynthesis |
Brite |
Lipids [BR:br08002]
SP Sphingolipids
SP05 Neutral glycosphingolipids
SP0504 Galbeta1-3GlcNAcbeta1-3Galbeta1-4Glc- (Lacto series)
G00045 Fuc-alpha1->4(Fuc-alpha1->2Gal-beta1->3)GlcNAc-beta1->3LacCer
Blood groups and carbohydrate antigens [br08110.html]
Lewis blood group
G00045
Glycan epitopes [br08111.html]
G00045
|
Other DBs |
|
LinkDB |
|
KCF data |
ATOM 91
1 C1y C 7.7988 -27.3223
2 C1y C 7.7988 -28.7184
3 C1y C 9.0078 -29.4165
4 C1y C 10.2169 -28.7184
5 C1y C 10.2169 -27.3223
6 O2x O 9.0078 -26.6243
7 O1a O 11.4446 -29.4274
8 O1a O 9.0078 -30.8123
9 O1a O 6.5897 -29.4165
10 C1a C 6.5897 -26.6243
11 C1c C 29.4302 -15.3865
12 C1c C 30.6181 -16.0852
13 N1b N 29.3603 -13.9890
14 C1b C 28.1725 -16.0852
15 C2b C 31.8059 -15.3865
16 O1a O 30.6181 -17.4827
17 C5a C 30.6181 -13.2902
18 O2a O 26.9846 -15.3865
19 C2b C 33.0637 -16.0153
20 O5a O 30.5482 -11.8927
21 R R 31.8059 -13.9890
22 C1b C 34.2516 -15.3166
23 C1b C 35.5093 -16.0153
24 C1b C 36.6972 -15.3166
25 C1b C 37.9549 -16.0153
26 C1b C 39.1428 -15.3166
27 C1b C 40.3306 -15.9454
28 C1b C 41.5884 -15.2467
29 C1b C 42.7762 -15.9454
30 C1b C 44.0340 -15.2467
31 C1b C 45.2219 -15.9454
32 C1b C 46.4098 -15.1768
33 C1b C 47.6676 -15.8756
34 C1a C 48.8554 -15.1768
35 C1y C 18.5996 -24.4004
36 C1y C 18.5996 -23.0029
37 C1y C 17.4117 -25.0991
38 N1b N 20.0669 -25.3786
39 O2a O 19.7874 -22.3041
40 O2x O 17.4117 -22.3041
41 O2a O 17.4117 -26.7066
42 C1y C 16.2238 -24.4004
43 C5a C 20.0669 -26.7062
44 C1y C 19.7874 -20.9765
45 C1y C 16.2238 -23.0029
46 C1y C 16.9238 -28.1754
47 O2a O 13.2860 -24.9591
48 C1a C 21.2549 -27.2652
49 O5a O 18.8791 -27.4050
50 C1y C 21.0452 -20.2079
51 C1y C 18.5996 -20.2079
52 C1b C 15.0360 -22.3041
53 O2x O 15.6661 -27.4766
54 C1y C 16.9238 -29.5728
55 C1y C 21.0452 -18.8103
56 O1a O 22.4428 -21.1861
57 C1y C 18.5996 -18.8103
58 O1a O 17.4117 -20.9066
59 C1y C 14.4782 -28.1754
60 C1y C 15.6661 -30.2716
61 O2a O 18.1117 -30.2017
62 O2a O 22.2331 -18.1814
63 O2x O 19.7874 -18.1814
64 C1b C 17.4117 -18.1814
65 C1y C 14.4782 -29.5728
66 C1b C 13.2903 -27.4766
67 O1a O 15.6661 -31.5992
68 C1y C 23.4210 -17.4827
69 O1a O 13.2903 -30.3417
70 C1y C 23.4210 -16.0852
71 C1y C 24.6089 -18.1814
72 O2x O 24.6089 -15.3865
73 C1b C 22.2331 -15.3865
74 C1y C 25.7967 -17.4827
75 O1a O 24.6089 -19.5091
76 C1y C 25.7967 -16.0852
77 O1a O 21.1151 -16.2948
78 O1a O 26.9846 -18.1814
79 C1y C 18.1117 -32.0185
80 C1y C 19.3694 -32.7172
81 O2x O 16.9937 -32.7172
82 C1y C 19.3694 -34.1147
83 O1a O 20.5573 -32.0185
84 C1y C 16.9937 -34.1147
85 C1y C 18.1117 -34.8134
86 O1a O 20.5573 -34.8134
87 C1a C 15.7360 -34.8134
88 O1a O 18.1117 -36.2109
89 O1a O 13.8204 -22.9993
90 O1a O 12.0682 -28.1753
91 O1a O 16.2178 -18.9004
BOND 96
1 1 2 1
2 2 3 1
3 3 4 1
4 4 5 1
5 5 6 1
6 1 6 1
7 4 7 1 #Up
8 3 8 1 #Down
9 2 9 1 #Down
10 1 10 1 #Down
11 33 34 1
12 11 12 1
13 11 13 1 #Down
14 11 14 1
15 12 15 1
16 12 16 1 #Up
17 13 17 1
18 14 18 1
19 15 19 2
20 17 20 2
21 17 21 1
22 19 22 1
23 22 23 1
24 23 24 1
25 24 25 1
26 25 26 1
27 26 27 1
28 27 28 1
29 28 29 1
30 29 30 1
31 30 31 1
32 31 32 1
33 32 33 1
34 35 36 1
35 35 37 1
36 35 38 1 #Down
37 36 39 1 #Up
38 36 40 1
39 37 41 1 #Up
40 37 42 1
41 38 43 1
42 44 39 1 #Up
43 40 45 1
44 46 41 1 #Up
45 42 47 1 #Down
46 43 48 1
47 43 49 2
48 44 50 1
49 44 51 1
50 45 52 1 #Up
51 46 53 1
52 46 54 1
53 50 55 1
54 50 56 1 #Down
55 51 57 1
56 51 58 1 #Up
57 53 59 1
58 54 60 1
59 54 61 1 #Down
60 55 62 1 #Up
61 55 63 1
62 57 64 1 #Up
63 59 65 1
64 59 66 1 #Up
65 60 67 1 #Up
66 68 62 1 #Down
67 65 69 1 #Up
68 68 70 1
69 68 71 1
70 70 72 1
71 70 73 1 #Up
72 71 74 1
73 71 75 1 #Up
74 72 76 1
75 73 77 1
76 74 78 1 #Down
77 76 18 1 #Up
78 42 45 1
79 57 63 1
80 60 65 1
81 74 76 1
82 79 61 1 #Up
83 79 80 1
84 79 81 1
85 80 82 1
86 80 83 1 #Up
87 81 84 1
88 82 85 1
89 82 86 1 #Down
90 84 87 1 #Down
91 85 88 1 #Down
92 84 85 1
93 52 89 1
94 66 90 1
95 64 91 1
96 5 47 1 #Up
|