| Entry |
|
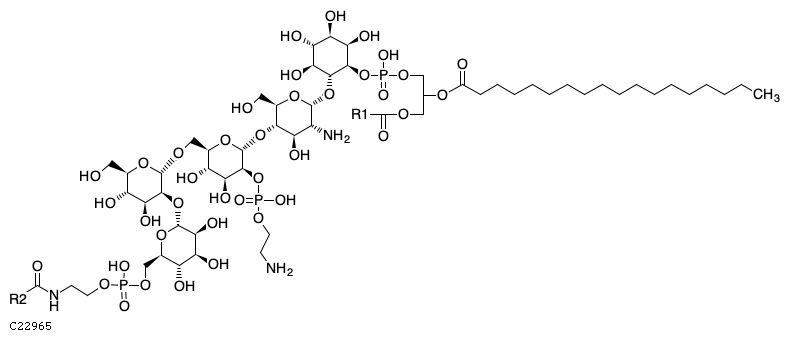
| Name |
C22965;
GPI-anchor biosynthesis intermediate 3
|
| Formula |
C57H104N3O39P3(R1)(R2)
|
| Structure |

|
| Remark |
|
| Comment |
Generic compound in reaction hierarchy
R1 = fatty acyl
R2 = protein
|
| Reaction |
|
| Pathway |
| map00563 | Glycosylphosphatidylinositol (GPI)-anchor biosynthesis |
| map00563 | Glycosylphosphatidylinositol (GPI)-anchor biosynthesis |
|
| Module |
|
| Enzyme |
2.3.1.-
|
| Other DBs |
|
| LinkDB |
|
| KCF data |
ATOM 104
1 O2b O 19.5610 -19.9843
2 P1b P 19.5610 -18.6762
3 C1b C 20.3182 -21.0860
4 O1c O 18.1840 -18.6762
5 O1c O 21.0757 -18.6762
6 C1b C 19.6987 -22.3254
7 N1a N 20.4560 -23.4270
8 O2b O 8.7513 -24.5975
9 P1b P 10.0596 -24.6663
10 C1b C 7.5809 -25.3549
11 O1c O 10.1284 -23.2893
12 O1c O 10.1284 -26.1122
13 C1b C 6.4105 -24.6663
14 N1b N 5.2400 -25.3549
15 C1y C 13.9152 -20.4663
16 O2x O 12.7447 -21.1548
17 C1y C 15.1545 -21.0860
18 C1y C 12.7447 -22.5319
19 C1y C 15.1545 -22.4631
20 C1y C 13.9841 -23.2218
21 C1b C 11.6432 -23.2893
22 O1a O 16.3938 -23.1516
23 O1a O 13.9825 -24.7380
24 O2b O 11.6432 -24.6663
25 O1a O 16.3250 -20.3286
26 C1y C 12.7447 -16.8172
27 O2x O 11.5054 -16.1286
28 C1y C 12.7447 -18.1254
29 C1y C 10.3349 -16.8172
30 C1y C 11.6454 -18.8124
31 C1y C 10.3349 -18.1254
32 C1b C 9.1645 -16.1286
33 O1a O 11.6454 -20.1894
34 O1a O 9.1645 -18.8827
35 O1a O 8.1318 -17.0237
36 O2a O 13.9152 -18.8827
37 C1y C 18.3905 -15.1648
38 O2x O 17.2200 -14.4763
39 C1y C 18.3905 -16.4730
40 C1y C 16.0495 -15.1648
41 C1y C 17.2200 -17.1615
42 O2b O 19.5610 -17.1615
43 C1y C 16.0495 -16.4730
44 C1b C 14.8791 -14.4763
45 O1a O 17.2200 -18.5385
46 O1a O 14.8791 -17.1615
47 O2a O 13.9152 -15.3714
48 C1y C 25.7577 -9.2436
49 C1y C 24.5872 -9.9322
50 C1y C 25.7577 -7.8666
51 C1y C 23.3479 -9.2436
52 C1y C 24.5872 -7.1781
53 O1a O 26.9280 -7.1781
54 C1y C 23.3479 -7.8666
55 O1a O 22.1772 -9.9322
56 O1a O 24.5872 -5.8011
57 O1a O 22.1772 -7.1781
58 C1b C 31.0591 -12.6862
59 C1c C 31.0591 -11.3092
60 C1b C 31.0591 -9.9322
61 O7a O 32.4361 -11.3092
62 O7a O 29.6821 -12.6862
63 C7a C 28.3050 -12.6862
64 Z R# 26.3773 -12.6862
65 O6a O 28.3050 -14.2009
66 O2b O 29.6821 -9.9322
67 P1b P 28.3050 -9.9322
68 O2b O 26.9280 -9.9322
69 O1c O 28.3050 -11.3092
70 O1c O 28.3050 -8.5551
71 C1y C 23.2102 -12.0664
72 O2x O 22.0396 -11.3779
73 C1y C 23.2102 -13.4435
74 C1y C 20.8002 -12.0664
75 C1y C 22.0396 -14.1319
76 N1a N 24.4494 -14.1319
77 C1y C 20.8002 -13.4435
78 C1b C 19.6987 -11.3779
79 O1a O 22.0396 -15.5090
80 O2a O 19.6987 -14.1319
81 O1a O 18.7347 -12.2730
82 O2a O 24.5183 -11.2403
83 C1b C 41.1450 -10.5901
84 C1b C 42.3665 -11.2871
85 C1b C 39.9176 -11.2871
86 C1b C 43.5817 -10.5901
87 C1b C 38.7024 -10.5901
88 C1b C 44.8032 -11.2871
89 C1b C 37.4811 -11.2871
90 C1b C 46.0184 -10.5901
91 C1b C 36.2659 -10.5901
92 C1b C 47.2459 -11.2871
93 C1b C 35.0385 -11.2871
94 C1b C 48.4611 -10.5901
95 C7a C 33.8230 -10.5901
96 C1b C 49.6826 -11.2871
97 C1b C 50.8977 -10.5901
98 C1b C 52.1253 -11.2871
99 C1b C 53.3405 -10.5901
100 C1a C 54.5617 -11.2871
101 O6a O 33.8218 -9.1820
102 C5a C 4.0340 -24.6711
103 Z R# 2.4365 -25.6139
104 O5a O 4.0929 -23.2959
BOND 108
1 1 2 1
2 1 3 1
3 2 4 2
4 2 5 1
5 3 6 1
6 6 7 1
7 8 9 1
8 8 10 1
9 9 11 1
10 9 12 2
11 10 13 1
12 13 14 1
13 15 16 1
14 15 17 1
15 16 18 1
16 17 19 1
17 18 20 1
18 18 21 1 #Up
19 19 22 1 #Up
20 20 23 1 #Down
21 21 24 1
22 19 20 1
23 17 25 1 #Up
24 9 24 1
25 26 27 1
26 26 28 1
27 27 29 1
28 28 30 1
29 29 31 1
30 29 32 1 #Up
31 30 33 1 #Up
32 31 34 1 #Down
33 32 35 1
34 30 31 1
35 28 36 1 #Up
36 37 38 1
37 37 39 1
38 38 40 1
39 39 41 1
40 39 42 1 #Up
41 40 43 1
42 40 44 1 #Up
43 41 45 1 #Up
44 43 46 1 #Down
45 44 47 1
46 41 43 1
47 48 49 1
48 48 50 1
49 49 51 1
50 50 52 1
51 50 53 1 #Up
52 51 54 1
53 51 55 1 #Up
54 52 56 1 #Up
55 54 57 1 #Down
56 52 54 1
57 58 59 1
58 59 60 1
59 59 61 1
60 58 62 1
61 62 63 1
62 63 64 1
63 63 65 2
64 60 66 1
65 66 67 1
66 67 68 1
67 67 69 2
68 67 70 1
69 48 68 1 #Up
70 71 72 1
71 71 73 1
72 72 74 1
73 73 75 1
74 73 76 1 #Down
75 74 77 1
76 74 78 1 #Up
77 75 79 1 #Up
78 77 80 1 #Down
79 78 81 1
80 75 77 1
81 71 82 1 #Down
82 49 82 1 #Down
83 37 80 1 #Down
84 26 47 1 #Down
85 15 36 1 #Down
86 2 42 1
87 99 100 1
88 83 84 1
89 83 85 1
90 84 86 1
91 85 87 1
92 86 88 1
93 87 89 1
94 88 90 1
95 89 91 1
96 90 92 1
97 91 93 1
98 92 94 1
99 93 95 1
100 94 96 1
101 96 97 1
102 97 98 1
103 98 99 1
104 95 101 2
105 61 95 1
106 14 102 1
107 102 103 1
108 102 104 2
|