| Entry |
|
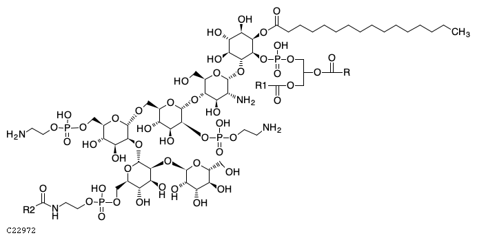
| Name |
C22972;
GPI-anchor biosynthesis intermediate 9
|
| Formula |
C64H115N4O48P4R(R1)(R2)
|
| Structure |

|
| Remark |
|
| Comment |
Generic compound in reaction hierarchy
R = unsaturated fatty acyl
R1 = fatty acyl
R2 = protein
|
| Reaction |
|
| Pathway |
| map00563 | Glycosylphosphatidylinositol (GPI)-anchor biosynthesis |
| map00563 | Glycosylphosphatidylinositol (GPI)-anchor biosynthesis |
|
| Enzyme |
3.-.-.-
|
| Other DBs |
|
| LinkDB |
|
| KCF data |
ATOM 123
1 C1y C 25.4100 -23.1000
2 O2x O 26.4600 -22.4000
3 C1y C 25.4100 -24.3600
4 C1y C 27.7200 -23.1000
5 C1y C 26.4600 -25.0600
6 O1a O 24.2200 -25.0600
7 C1y C 27.7200 -24.3600
8 C1b C 28.9100 -22.4000
9 O1a O 26.4600 -26.4600
10 O1a O 28.9100 -25.0600
11 O1a O 29.7500 -23.3100
12 O2b O 11.9700 -18.7600
13 P1b P 13.3000 -18.8300
14 C1b C 10.8500 -19.4600
15 O1c O 13.3700 -17.5000
16 O1c O 13.3000 -20.2300
17 C1b C 9.7300 -18.8300
18 N1a N 8.7500 -19.4600
19 O2b O 15.5400 -26.3200
20 P1b P 16.8000 -26.3900
21 C1b C 14.3500 -27.0200
22 O1c O 16.8700 -24.9900
23 O1c O 16.8000 -27.8600
24 C1b C 13.1600 -26.3900
25 N1b N 12.1100 -27.0200
26 C1y C 20.5800 -22.2600
27 O2x O 19.4600 -22.9600
28 C1y C 21.7700 -22.9600
29 C1y C 19.4600 -24.2200
30 C1y C 21.7700 -24.1500
31 C1y C 20.6500 -24.9200
32 C1b C 18.3400 -24.9900
33 O1a O 22.9600 -24.8500
34 O1a O 20.6500 -26.3900
35 O2b O 18.3400 -26.3900
36 O2a O 23.5200 -22.1900
37 C1y C 19.4600 -18.5500
38 O2x O 18.2000 -17.8500
39 C1y C 19.4600 -19.8800
40 C1y C 17.0100 -18.5500
41 C1y C 18.2000 -20.5100
42 C1y C 17.0100 -19.8800
43 C1b C 15.9600 -17.8500
44 O1a O 18.2000 -21.9100
45 O1a O 15.9600 -20.5100
46 O2b O 14.9100 -18.7600
47 O2a O 20.5800 -20.5100
48 C1y C 24.9200 -16.8700
49 O2x O 23.8000 -16.2400
50 C1y C 24.9200 -18.2000
51 C1y C 22.6800 -16.8700
52 C1y C 23.8000 -18.9000
53 O2b O 27.3000 -19.8100
54 C1y C 22.6800 -18.2000
55 C1b C 21.4900 -16.2400
56 O1a O 23.8000 -20.1600
57 O1a O 21.4900 -18.9000
58 O2a O 20.5800 -17.0800
59 C1y C 32.1300 -11.1300
60 C1y C 31.0100 -11.8300
61 C1y C 32.1300 -9.8000
62 C1y C 29.7500 -11.1300
63 C1y C 31.0100 -9.1000
64 O7a O 33.2500 -9.1000
65 C1y C 29.7500 -9.8000
66 O1a O 28.6300 -11.8300
67 O1a O 31.0100 -7.7700
68 O1a O 28.6300 -9.1000
69 C1b C 37.3100 -14.4900
70 C1c C 37.3100 -13.1600
71 C1b C 37.3100 -11.8300
72 O7a O 38.7100 -13.1600
73 C7a C 40.1800 -13.1600
74 O6a O 40.1800 -11.6900
75 O7a O 35.9800 -14.4900
76 C7a C 34.6500 -14.4900
77 Z R# 32.7600 -14.4900
78 O6a O 34.6500 -16.0300
79 O2b O 35.9800 -11.8300
80 P1b P 34.6500 -11.8300
81 O2b O 33.2500 -11.8300
82 O1c O 34.6500 -13.3000
83 O1c O 34.6500 -10.4300
84 C1y C 29.6100 -13.8600
85 O2x O 28.4900 -13.2300
86 C1y C 29.6100 -15.2600
87 C1y C 27.3000 -13.8600
88 C1y C 28.4900 -15.9600
89 N1a N 30.8700 -15.9600
90 C1y C 27.3000 -15.2600
91 C1b C 26.2500 -13.2300
92 O1a O 28.4900 -17.2200
93 O2a O 26.2500 -15.9600
94 O1a O 25.2700 -14.0700
95 O2a O 30.9400 -13.0900
96 O2b O 30.1700 -19.8100
97 P1b P 28.7700 -19.8100
98 C1b C 31.2900 -18.9700
99 O1c O 28.7700 -21.2800
100 O1c O 28.7700 -18.3400
101 C1b C 32.5500 -19.5300
102 N1a N 33.5300 -18.7600
103 R R 41.7200 -13.1600
104 C5a C 10.8500 -26.3900
105 Z R# 9.1700 -27.1600
106 O5a O 10.8500 -24.9900
107 C7a C 34.5899 -8.3201
108 C1b C 35.7954 -9.0306
109 O6a O 34.5937 -6.9301
110 C1b C 36.9824 -8.3300
111 C1b C 38.1949 -9.0300
112 C1b C 39.4073 -8.3300
113 C1b C 40.6197 -9.0300
114 C1b C 41.8322 -8.3300
115 C1b C 43.0446 -9.0300
116 C1b C 44.2570 -8.3300
117 C1b C 45.4695 -9.0300
118 C1b C 46.6819 -8.3300
119 C1b C 47.8944 -9.0300
120 C1b C 49.1068 -8.3300
121 C1b C 50.3192 -9.0300
122 C1b C 51.5317 -8.3300
123 C1a C 52.7353 -9.0250
BOND 128
1 1 2 1
2 1 3 1
3 2 4 1
4 3 5 1
5 3 6 1 #Down
6 4 7 1
7 4 8 1 #Down
8 5 9 1 #Down
9 7 10 1 #Up
10 8 11 1
11 5 7 1
12 12 13 1
13 12 14 1
14 13 15 1
15 13 16 2
16 14 17 1
17 17 18 1
18 19 20 1
19 19 21 1
20 20 22 1
21 20 23 2
22 21 24 1
23 24 25 1
24 26 27 1
25 26 28 1
26 27 29 1
27 28 30 1
28 29 31 1
29 29 32 1 #Up
30 30 33 1 #Up
31 31 34 1 #Down
32 32 35 1
33 30 31 1
34 28 36 1 #Up
35 20 35 1
36 37 38 1
37 37 39 1
38 38 40 1
39 39 41 1
40 40 42 1
41 40 43 1 #Up
42 41 44 1 #Up
43 42 45 1 #Down
44 43 46 1
45 41 42 1
46 39 47 1 #Up
47 48 49 1
48 48 50 1
49 49 51 1
50 50 52 1
51 50 53 1 #Up
52 51 54 1
53 51 55 1 #Up
54 52 56 1 #Up
55 54 57 1 #Down
56 55 58 1
57 52 54 1
58 59 60 1
59 59 61 1
60 60 62 1
61 61 63 1
62 61 64 1 #Up
63 62 65 1
64 62 66 1 #Up
65 63 67 1 #Up
66 65 68 1 #Down
67 63 65 1
68 69 70 1
69 70 71 1
70 70 72 1
71 72 73 1
72 73 74 2
73 69 75 1
74 75 76 1
75 76 77 1
76 76 78 2
77 71 79 1
78 79 80 1
79 80 81 1
80 80 82 2
81 80 83 1
82 59 81 1 #Up
83 84 85 1
84 84 86 1
85 85 87 1
86 86 88 1
87 86 89 1 #Down
88 87 90 1
89 87 91 1 #Up
90 88 92 1 #Up
91 90 93 1 #Down
92 91 94 1
93 88 90 1
94 84 95 1 #Down
95 60 95 1 #Down
96 48 93 1 #Down
97 37 58 1 #Down
98 26 47 1 #Down
99 13 46 1
100 96 97 1
101 96 98 1
102 97 99 2
103 97 100 1
104 98 101 1
105 101 102 1
106 53 97 1
107 1 36 1 #Up
108 73 103 1
109 25 104 1
110 104 105 1
111 104 106 2
112 64 107 1
113 107 108 1
114 107 109 2
115 108 110 1
116 110 111 1
117 111 112 1
118 112 113 1
119 113 114 1
120 114 115 1
121 115 116 1
122 116 117 1
123 117 118 1
124 118 119 1
125 119 120 1
126 120 121 1
127 121 122 1
128 122 123 1
|