KEGG   COMPOUND: C23113
Entry
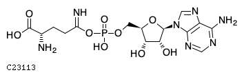
C23113                      Compound                               
Name
(2S)-5-[(5'-Adenylyl)oxy]-5-imino-2-aminopentanoate
Formula
C15H22N7O9P
Exact mass
475.1217
Mol weight
475.35
Structure
Reaction
Enzyme
LinkDB
KCF data

ATOM        32
            1   C1c C    11.9700  -17.9900
            2   C1b C    13.1600  -17.2900
            3   C6a C    10.7100  -17.3600
            4   N1a N    11.9700  -19.3900
            5   C1b C    14.3500  -17.9200
            6   O6a O     9.5200  -18.1300
            7   O6a O    10.7100  -15.9600
            8   C2c C    15.5400  -17.2200
            9   O2b O    16.8000  -17.9200
            10  N2a N    15.5400  -15.8200
            11  N4y N    25.6660  -17.0568
            12  C8y C    26.7390  -17.7975
            13  C1y C    24.3831  -17.4767
            14  C8x C    26.1500  -15.6572
            15  C8y C    27.9753  -16.8876
            16  N5x N    26.8731  -19.2202
            17  O2x O    23.2401  -16.6194
            18  C1y C    23.9515  -18.7305
            19  N5x N    27.6022  -15.6631
            20  C8y C    29.2350  -17.4417
            21  C8x C    28.2027  -19.8092
            22  C1y C    22.1322  -17.4183
            23  C1y C    22.5636  -18.7305
            24  O1a O    24.6106  -19.8676
            25  N5x N    29.3982  -18.9346
            26  N1a N    30.3428  -16.6137
            27  C1b C    20.8084  -16.9869
            28  O1a O    22.1146  -20.0543
            29  O2b O    19.7704  -17.9140
            30  P1b P    18.3708  -17.9140
            31  O1c O    18.3651  -19.3136
            32  O1c O    18.3651  -16.5203
BOND        34
            1     1   2 1
            2     1   3 1
            3     1   4 1 #Down
            4     2   5 1
            5     3   6 1
            6     3   7 2
            7     5   8 1
            8     8   9 1
            9     8  10 2
            10   11  12 1
            11   13  11 1 #Up
            12   11  14 1
            13   12  15 2
            14   12  16 1
            15   13  17 1
            16   13  18 1
            17   14  19 2
            18   15  20 1
            19   16  21 2
            20   17  22 1
            21   18  23 1
            22   18  24 1 #Down
            23   20  25 2
            24   20  26 1
            25   22  27 1 #Up
            26   23  28 1 #Down
            27   27  29 1
            28   29  30 1
            29   30  31 1
            30   30  32 2
            31   15  19 1
            32   21  25 1
            33   22  23 1
            34    9  30 1

» Japanese version

DBGET integrated database retrieval system