KEGG   DRUG: エクラナミンマレイン酸塩
エントリ  
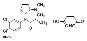
D03933                      Drug                                   
一般名   
エクラナミンマレイン酸塩;
Eclanamine maleate (USAN)
組成式   
C16H22Cl2N2O. C4H4O4
質量    
444.1219
分子量   
445.33
構造式   
効能    
抗うつ薬
リンク   
CAS: 71027-14-0
PubChem: 47205921
LigandBox: D03933
LinkDB    

» English version   » Back

DBGET integrated database retrieval system