KEGG   DRUG: エフロトマイシン
エントリ  
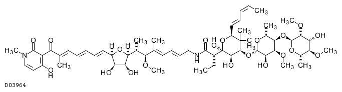
D03964                      Drug                                   
一般名   
エフロトマイシン;
Efrotomycin (USAN/INN)
組成式   
C59H88N2O20
質量    
1144.5930
分子量   
1145.33
構造式   
効能    
成長促進薬 (獣医薬)
リンク   
CAS: 56592-32-6
PubChem: 47205950
LigandBox: D03964
日化辞: J388.268C
LinkDB    

» English version   » Back

DBGET integrated database retrieval system