| Entry |
|
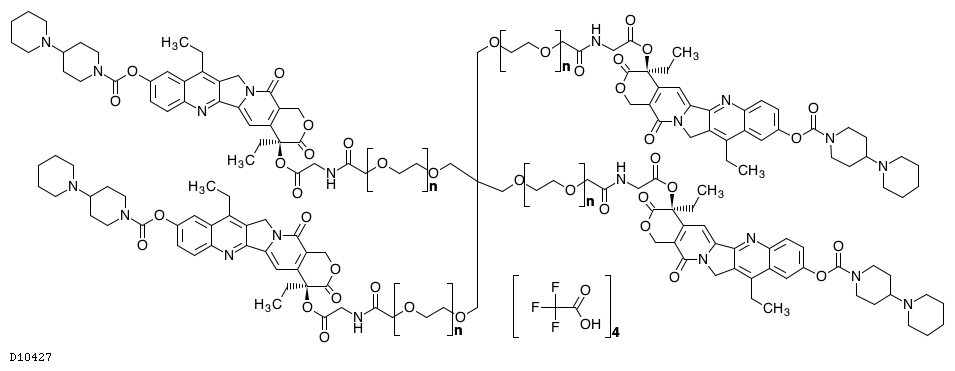
| Name |
Etirinotecan pegol tetratriflutate (USAN) |
| Formula |
C153H176N20O36(C2H4O)n(C2H4O)n(C2H4O)n(C2H4O)n. (C2HF3O2)4
|
| Structure |

|
| Class |
Antineoplastic
DG01529 Topoisomerase inhibitor
DG01526 Topoisomerase I inhibitor
|
| Remark |
|
| Efficacy |
Antineoplastic, Topoisomerase I inhibitor |
| Target |
|
| Interaction |
|
| Brite |
Anatomical Therapeutic Chemical (ATC) classification [BR:br08303]
L ANTINEOPLASTIC AND IMMUNOMODULATING AGENTS
L01 ANTINEOPLASTIC AGENTS
L01C PLANT ALKALOIDS AND OTHER NATURAL PRODUCTS
L01CE Topoisomerase 1 (TOP1) inhibitors
L01CE03 Etirinotecan pegol
D10427 Etirinotecan pegol tetratriflutate (USAN)
Drug groups [BR:br08330]
Antineoplastic
DG01529 Topoisomerase inhibitor
DG01526 Topoisomerase I inhibitor
DG01267 Etirinotecan pegol
D10427 Etirinotecan pegol tetratriflutate
Target-based classification of drugs [BR:br08310]
Enzymes
Isomerases (EC5)
DNA topoisomerase
TOP1
D10427 Etirinotecan pegol tetratriflutate (USAN)
Drug groups [BR:br08330]
Antineoplastic
DG01529 Topoisomerase inhibitor
DG01526 Topoisomerase I inhibitor
DG01267 Etirinotecan pegol
|
| Other DBs |
|
| LinkDB |
|
| KCF data |
ATOM 249
1 C1d C 34.3700 -14.2100
2 C8y C 11.4800 -7.2100
3 C8x C 11.4800 -8.6100
4 C8x C 12.6700 -9.3100
5 C8y C 13.8600 -8.6100
6 C8y C 13.8600 -7.2100
7 C8x C 12.6700 -6.5100
8 N5x N 15.1200 -9.3100
9 C8y C 16.3100 -8.6100
10 C8y C 16.3100 -7.2100
11 C8y C 15.1200 -6.5100
12 O7a O 10.2200 -6.5100
13 C7a C 9.0300 -7.2100
14 O6a O 9.0300 -8.6100
15 N1y N 7.8400 -6.5100
16 C1x C 7.8400 -5.1800
17 C1x C 6.5800 -4.4800
18 C1y C 5.3900 -5.1800
19 C1x C 5.3900 -6.5100
20 C1x C 6.5800 -7.2100
21 N1y N 4.2000 -4.4800
22 C1x C 4.2000 -3.0100
23 C1x C 2.9400 -2.3100
24 C1x C 1.7500 -3.0100
25 C1x C 1.7500 -4.4800
26 C1x C 2.9400 -5.1800
27 C8y C 17.6400 -9.0300
28 N4y N 18.4800 -7.9100
29 C1x C 17.6400 -6.7900
30 C8y C 19.8100 -7.9100
31 C8y C 20.5100 -9.1000
32 C8y C 19.8800 -10.2900
33 C8x C 18.4100 -10.2900
34 C1z C 20.5800 -11.4800
35 C7x C 21.9100 -11.4800
36 O7x O 22.5400 -10.2900
37 C1x C 21.8400 -9.1000
38 O5x O 20.5100 -6.6500
39 O6a O 22.6100 -12.3200
40 C1b C 15.1200 -5.1800
41 C1a C 13.8600 -4.4800
42 C1b C 19.1800 -11.4800
43 O7a O 20.5800 -12.9500
44 C1a C 18.4800 -12.7400
45 C7a C 21.7700 -13.6500
46 C1b C 22.9600 -12.9500
47 N1b N 24.1500 -13.6500
48 C5a C 25.3400 -12.9500
49 C1b C 26.5300 -13.6500
50 O2a O 27.7200 -12.9500
51 C1b C 28.9100 -13.6500
52 C1b C 30.1000 -12.9500
53 O6a O 21.7700 -15.0500
54 O5a O 25.3400 -11.5500
55 O2a O 31.2900 -13.6500
56 C1b C 32.4800 -12.9500
57 C8y C 57.1900 -20.2300
58 C8x C 57.1900 -18.8300
59 C8x C 56.0000 -18.2000
60 C8y C 54.8100 -18.9000
61 C8y C 54.8100 -20.3000
62 C8x C 56.0000 -21.0000
63 N5x N 53.5500 -18.2000
64 C8y C 52.3600 -18.9000
65 C8y C 52.3600 -20.3000
66 C8y C 53.5500 -21.0000
67 O7a O 58.4500 -20.8600
68 C7a C 59.6400 -20.1600
69 O6a O 59.6400 -18.7600
70 N1y N 60.9000 -20.8600
71 C1x C 60.9000 -22.1900
72 C1x C 62.1600 -22.8200
73 C1y C 63.2800 -22.1200
74 C1x C 63.2800 -20.7900
75 C1x C 62.0900 -20.0900
76 N1y N 64.5400 -22.8200
77 C1x C 64.5400 -24.2900
78 C1x C 65.8700 -24.9900
79 C1x C 66.9900 -24.2200
80 C1x C 66.9900 -22.7500
81 C1x C 65.8000 -22.1200
82 C8y C 51.0300 -18.5500
83 N4y N 50.1900 -19.6700
84 C1x C 51.0300 -20.7900
85 C8y C 48.8600 -19.6700
86 C8y C 48.1600 -18.4800
87 C8y C 48.7900 -17.2900
88 C8x C 50.2600 -17.2900
89 C1z C 48.0200 -16.1700
90 C7x C 46.6900 -16.1700
91 O7x O 46.1300 -17.3600
92 C1x C 46.8300 -18.4800
93 O5x O 48.1600 -20.9300
94 O6a O 45.9900 -15.3300
95 C1b C 49.4200 -16.1000
96 O7a O 48.0200 -14.6300
97 C1a C 50.1200 -14.8400
98 C7a C 46.8300 -14.0000
99 C1b C 45.6400 -14.7000
100 N1b N 44.4500 -14.0700
101 C5a C 43.2600 -14.7700
102 C1b C 42.0700 -14.0700
103 O2a O 40.8800 -14.8400
104 C1b C 39.6900 -14.1400
105 C1b C 38.5000 -14.8400
106 O6a O 46.8300 -12.6000
107 O5a O 43.2600 -16.1700
108 O2a O 37.3100 -14.1400
109 C1b C 36.1200 -14.9100
110 C1b C 53.5500 -22.4000
111 C1a C 54.7400 -23.1000
112 C1b C 34.3700 -23.0300
113 C1b C 34.3700 -5.1800
114 O2a O 35.5600 -4.4800
115 C8y C 55.4400 -10.5700
116 C8x C 55.4400 -9.1700
117 C8x C 54.2500 -8.5400
118 C8y C 53.0600 -9.2400
119 C8y C 53.0600 -10.6400
120 C8x C 54.2500 -11.3400
121 N5x N 51.8000 -8.5400
122 C8y C 50.6100 -9.2400
123 C8y C 50.6100 -10.6400
124 C8y C 51.8000 -11.3400
125 O7a O 56.7000 -11.2000
126 C7a C 57.8900 -10.5000
127 O6a O 57.8900 -9.1000
128 N1y N 59.0800 -11.2000
129 C1x C 59.1500 -12.5300
130 C1x C 60.4100 -13.1600
131 C1y C 61.6000 -12.4600
132 C1x C 61.6000 -11.1300
133 C1x C 60.3400 -10.4300
134 N1y N 62.7900 -13.1600
135 C1x C 62.7900 -14.6300
136 C1x C 64.1200 -15.3300
137 C1x C 65.2400 -14.5600
138 C1x C 65.2400 -13.0900
139 C1x C 64.0500 -12.4600
140 C8y C 49.2800 -8.8900
141 N4y N 48.4400 -10.0100
142 C1x C 49.2800 -11.1300
143 C8y C 47.1100 -10.0100
144 C8y C 46.4100 -8.8200
145 C8y C 47.0400 -7.6300
146 C8x C 48.5100 -7.6300
147 C1z C 46.2700 -6.5100
148 C7x C 44.9400 -6.5100
149 O7x O 44.3800 -7.7000
150 C1x C 45.0800 -8.8200
151 O5x O 46.4100 -11.2700
152 O6a O 44.2400 -5.6700
153 C1b C 47.6700 -6.4400
154 O7a O 46.2700 -4.9700
155 C1a C 48.3700 -5.1800
156 C7a C 45.0800 -4.3400
157 C1b C 43.8900 -5.0400
158 N1b N 42.7000 -4.4100
159 C5a C 41.5100 -5.1100
160 C1b C 40.3200 -4.4100
161 O2a O 39.1300 -5.1800
162 C1b C 37.9400 -4.4800
163 C1b C 36.7500 -5.1800
164 O6a O 45.0800 -2.9400
165 O5a O 41.5100 -6.5100
166 C1b C 51.8000 -12.7400
167 C1a C 52.9900 -13.4400
168 O2a O 33.1800 -23.7300
169 C8y C 13.3700 -17.2900
170 C8x C 13.3700 -18.6900
171 C8x C 14.5600 -19.3900
172 C8y C 15.7500 -18.6900
173 C8y C 15.7500 -17.2900
174 C8x C 14.5600 -16.5900
175 N5x N 17.0100 -19.3900
176 C8y C 18.2000 -18.6900
177 C8y C 18.2000 -17.2900
178 C8y C 17.0100 -16.5900
179 O7a O 12.1100 -16.5900
180 C7a C 10.9200 -17.2900
181 O6a O 10.9200 -18.6900
182 N1y N 9.7300 -16.5900
183 C1x C 9.7300 -15.2600
184 C1x C 8.4700 -14.5600
185 C1y C 7.2800 -15.2600
186 C1x C 7.2800 -16.5900
187 C1x C 8.4700 -17.2900
188 N1y N 6.0900 -14.5600
189 C1x C 6.0900 -13.0900
190 C1x C 4.8300 -12.3900
191 C1x C 3.6400 -13.0900
192 C1x C 3.6400 -14.5600
193 C1x C 4.8300 -15.2600
194 C8y C 19.5300 -19.1100
195 N4y N 20.3700 -17.9900
196 C1x C 19.5300 -16.8700
197 C8y C 21.7000 -17.9900
198 C8y C 22.4000 -19.1800
199 C8y C 21.7700 -20.3700
200 C8x C 20.3000 -20.3700
201 C1z C 22.4700 -21.5600
202 C7x C 23.8000 -21.5600
203 O7x O 24.4300 -20.3700
204 C1x C 23.7300 -19.1800
205 O5x O 22.4000 -16.7300
206 O6a O 24.5000 -22.4000
207 C1b C 17.0100 -15.2600
208 C1a C 15.7500 -14.5600
209 C1b C 21.0700 -21.5600
210 O7a O 22.4700 -23.0300
211 C1a C 20.3700 -22.8200
212 C7a C 23.6600 -23.7300
213 C1b C 24.8500 -23.0300
214 N1b N 26.0400 -23.7300
215 C5a C 27.2300 -23.0300
216 C1b C 28.4200 -23.7300
217 O2a O 29.6100 -23.0300
218 C1b C 30.8000 -23.7300
219 C1b C 31.9900 -23.0300
220 O6a O 23.6600 -25.1300
221 O5a O 27.2300 -21.6300
222 X F 38.4300 -23.0300
223 C1d C 39.8300 -23.0300
224 X F 39.8300 -21.6300
225 X F 39.8300 -24.4300
226 C6a C 41.2300 -23.0300
227 O6a O 41.9300 -24.2424
228 O6a O 41.9300 -21.8176
229 X F 38.4300 -23.0300
230 C1d C 39.8300 -23.0300
231 X F 39.8300 -21.6300
232 X F 39.8300 -24.4300
233 C6a C 41.2300 -23.0300
234 O6a O 41.9300 -24.2424
235 O6a O 41.9300 -21.8176
236 X F 38.4300 -23.0300
237 C1d C 39.8300 -23.0300
238 X F 39.8300 -21.6300
239 X F 39.8300 -24.4300
240 C6a C 41.2300 -23.0300
241 O6a O 41.9300 -24.2424
242 O6a O 41.9300 -21.8176
243 X F 38.4300 -23.0300
244 C1d C 39.8300 -23.0300
245 X F 39.8300 -21.6300
246 X F 39.8300 -24.4300
247 C6a C 41.2300 -23.0300
248 O6a O 41.9300 -24.2424
249 O6a O 41.9300 -21.8176
BOND 272
1 2 3 2
2 3 4 1
3 4 5 2
4 5 6 1
5 6 7 2
6 2 7 1
7 5 8 1
8 8 9 2
9 9 10 1
10 10 11 2
11 6 11 1
12 2 12 1
13 12 13 1
14 13 14 2
15 13 15 1
16 15 16 1
17 16 17 1
18 17 18 1
19 18 19 1
20 19 20 1
21 15 20 1
22 18 21 1
23 21 22 1
24 22 23 1
25 23 24 1
26 24 25 1
27 25 26 1
28 21 26 1
29 9 27 1
30 27 28 1
31 28 29 1
32 10 29 1
33 28 30 1
34 30 31 1
35 31 32 2
36 32 33 1
37 32 34 1
38 34 35 1
39 35 36 1
40 36 37 1
41 31 37 1
42 33 27 2
43 30 38 2
44 35 39 2
45 11 40 1
46 40 41 1
47 34 42 1 #Down
48 34 43 1 #Up
49 42 44 1
50 43 45 1
51 45 46 1
52 46 47 1
53 47 48 1
54 48 49 1
55 49 50 1
56 50 51 1
57 51 52 1
58 45 53 2
59 48 54 2
60 52 55 1
61 55 56 1
62 56 1 1
63 57 58 2
64 58 59 1
65 59 60 2
66 60 61 1
67 61 62 2
68 57 62 1
69 60 63 1
70 63 64 2
71 64 65 1
72 65 66 2
73 61 66 1
74 57 67 1
75 67 68 1
76 68 69 2
77 68 70 1
78 70 71 1
79 71 72 1
80 72 73 1
81 73 74 1
82 74 75 1
83 70 75 1
84 73 76 1
85 76 77 1
86 77 78 1
87 78 79 1
88 79 80 1
89 80 81 1
90 76 81 1
91 64 82 1
92 82 83 1
93 83 84 1
94 65 84 1
95 83 85 1
96 85 86 1
97 86 87 2
98 87 88 1
99 87 89 1
100 89 90 1
101 90 91 1
102 91 92 1
103 86 92 1
104 88 82 2
105 85 93 2
106 90 94 2
107 89 95 1 #Down
108 89 96 1 #Up
109 95 97 1
110 96 98 1
111 98 99 1
112 99 100 1
113 100 101 1
114 101 102 1
115 102 103 1
116 103 104 1
117 104 105 1
118 98 106 2
119 101 107 2
120 105 108 1
121 108 109 1
122 109 1 1
123 66 110 1
124 110 111 1
125 1 112 1
126 1 113 1
127 113 114 1
128 115 116 2
129 116 117 1
130 117 118 2
131 118 119 1
132 119 120 2
133 115 120 1
134 118 121 1
135 121 122 2
136 122 123 1
137 123 124 2
138 119 124 1
139 115 125 1
140 125 126 1
141 126 127 2
142 126 128 1
143 128 129 1
144 129 130 1
145 130 131 1
146 131 132 1
147 132 133 1
148 128 133 1
149 131 134 1
150 134 135 1
151 135 136 1
152 136 137 1
153 137 138 1
154 138 139 1
155 134 139 1
156 122 140 1
157 140 141 1
158 141 142 1
159 123 142 1
160 141 143 1
161 143 144 1
162 144 145 2
163 145 146 1
164 145 147 1
165 147 148 1
166 148 149 1
167 149 150 1
168 144 150 1
169 146 140 2
170 143 151 2
171 148 152 2
172 147 153 1 #Down
173 147 154 1 #Up
174 153 155 1
175 154 156 1
176 156 157 1
177 157 158 1
178 158 159 1
179 159 160 1
180 160 161 1
181 161 162 1
182 162 163 1
183 156 164 2
184 159 165 2
185 163 114 1
186 124 166 1
187 166 167 1
188 112 168 1
189 169 170 2
190 170 171 1
191 171 172 2
192 172 173 1
193 173 174 2
194 169 174 1
195 172 175 1
196 175 176 2
197 176 177 1
198 177 178 2
199 173 178 1
200 169 179 1
201 179 180 1
202 180 181 2
203 180 182 1
204 182 183 1
205 183 184 1
206 184 185 1
207 185 186 1
208 186 187 1
209 182 187 1
210 185 188 1
211 188 189 1
212 189 190 1
213 190 191 1
214 191 192 1
215 192 193 1
216 188 193 1
217 176 194 1
218 194 195 1
219 195 196 1
220 177 196 1
221 195 197 1
222 197 198 1
223 198 199 2
224 199 200 1
225 199 201 1
226 201 202 1
227 202 203 1
228 203 204 1
229 198 204 1
230 200 194 2
231 197 205 2
232 202 206 2
233 178 207 1
234 207 208 1
235 201 209 1 #Down
236 201 210 1 #Up
237 209 211 1
238 210 212 1
239 212 213 1
240 213 214 1
241 214 215 1
242 215 216 1
243 216 217 1
244 217 218 1
245 218 219 1
246 212 220 2
247 215 221 2
248 219 168 1
249 222 223 1
250 223 224 1
251 223 225 1
252 223 226 1
253 226 227 1
254 226 228 2
255 229 230 1
256 230 231 1
257 230 232 1
258 230 233 1
259 233 234 1
260 233 235 2
261 236 237 1
262 237 238 1
263 237 239 1
264 237 240 1
265 240 241 1
266 240 242 2
267 243 244 1
268 244 245 1
269 244 246 1
270 244 247 1
271 247 248 1
272 247 249 2
BRACKET 1 27.0200 -14.9100 27.0200 -11.9000
1 30.5200 -11.9000 30.5200 -14.9100
1 n
ORIGINAL 1 50 51 52
REPEAT 1
2 38.0100 -15.9600 38.0100 -12.9500
2 41.5100 -12.9500 41.5100 -15.9600
2 n
ORIGINAL 2 103 104 105
REPEAT 2
3 36.3300 -6.5100 36.3300 -3.6400
3 39.8300 -3.6400 39.8300 -6.5100
3 n
ORIGINAL 3 161 162 163
REPEAT 3
4 28.9100 -24.9900 28.9100 -21.3500
4 32.2700 -21.3500 32.2700 -24.9900
4 n
ORIGINAL 4 217 218 219
REPEAT 4
5 37.2400 -25.1300 37.2400 -20.7900
5 43.3300 -20.7900 43.3300 -25.1300
5 4
ORIGINAL 5 222 223 224 225 226 227 228
REPEAT 5 229 230 231 232 233 234 235 236 237 238 239 240 241 242 243 244
5 245 246 247 248 249
|