KEGG   REACTION: R00165
Entry
R00165                      Reaction                               
Definition
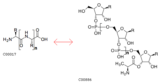
Protein <=> L-Alanyl-tRNA
Equation
Comment
incomplete reaction
LinkDB

DBGET integrated database retrieval system