| Entry |
|
| Name |
UDP-glucose:glycogen 4-alpha-D-glucosyltransferase
|
| Definition |
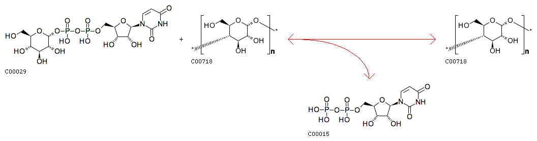
UDP-glucose + Amylose <=> UDP + Amylose
|
| Equation |
|
|
 |
| Remark |
|
| Comment |
GYS [KO: K00693] requires glycogenin [KO: K00750] for priming.
|
| Reaction class |
|
| Enzyme |
|
| Pathway |
| rn00500 | Starch and sucrose metabolism |
| rn01110 | Biosynthesis of secondary metabolites |
|
| Module |
| M00854 | Glycogen biosynthesis, glucose-1P => glycogen/starch |
|
| Brite |
Enzymatic reactions [BR:br08201]
2. Transferase reactions
2.4 Glycosyltransferases
2.4.1 Hexosyltransferases
2.4.1.11
R00292 UDP-glucose + Amylose <=> UDP + Amylose
2.4.1.242
R00292 UDP-glucose + Amylose <=> UDP + Amylose
IUBMB reaction hierarchy [BR:br08202]
2. Transferase reactions
2.4.1.242
R07261 NDP-glucose <=> NDP
R00292 UDP-glucose <=> UDP
|
| Orthology |
|
| Other DBs |
|
| LinkDB |
|