KEGG   REACTION: R00407
Entry
R00407                      Reaction                               
Name
succinyl-CoA hydrolase
Definition
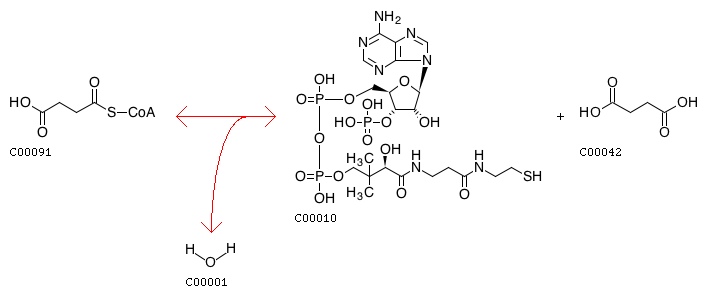
Succinyl-CoA + H2O <=> CoA + Succinate
Equation
Reaction class
RC00004  C00010_C00091
RC00014  C00042_C00091
Enzyme
Brite
Enzymatic reactions [BR:br08201]
 3. Hydrolase reactions
  3.1  Acting on ester bonds
   3.1.2  Thioester hydrolases
    3.1.2.3
     R00407  Succinyl-CoA + H2O <=> CoA + Succinate
Other DBs
RHEA: 11519
LinkDB

DBGET integrated database retrieval system