REACTION: R00468
Help
Entry
R00468 Reaction
Name
glyoxylate:NADP+ oxidoreductase (CoA-oxalylating)
Definition
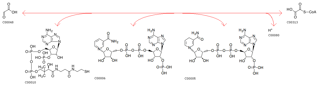
Glyoxylate + CoA + NADP+ <=> Oxalyl-CoA + NADPH + H+
Equation
C00048
+
C00010
+
C00006
<=>
C00313
+
C00005
+
C00080
Reaction class
RC00001
C00005_C00006
RC00004
C00010_C00313
RC00306
C00048_C00313
Enzyme
1.2.1.17
Pathway
rn00630
Glyoxylate and dicarboxylate metabolism
rn01100
Metabolic pathways
Brite
Enzymatic reactions [BR:
br08201
]
1. Oxidoreductase reactions
1.2 Acting on the aldehyde or oxo group of donors
1.2.1 With NAD+ or NADP+ as acceptor
1.2.1.17
R00468 Glyoxylate + CoA + NADP+ <=> Oxalyl-CoA + NADPH + H+
BRITE hierarchy
Other DBs
RHEA:
21027
LinkDB
All DBs
DBGET
integrated database retrieval system