KEGG   REACTION: R00504
Entry
R00504                      Reaction                               
Name
UDP-alpha-D-galactose:UDP-N-acetyl-alpha-D-glucosamine galactose phosphotransferase
Definition
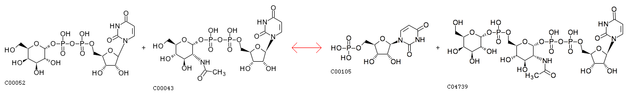
UDP-alpha-D-galactose + UDP-N-acetyl-alpha-D-glucosamine <=> UMP + UDP-N-acetyl-6-(alpha-D-galactose-1-phospho)-alpha-D-glucosamine
Equation
Reaction class
RC00002  C00052_C00105
RC00017  C00043_C04739
Enzyme
Brite
Enzymatic reactions [BR:br08201]
 2. Transferase reactions
  2.7  Transferring phosphorus-containing groups
   2.7.8  Transferases for other substituted phosphate groups
    2.7.8.18
     R00504  UDP-alpha-D-galactose + UDP-N-acetyl-alpha-D-glucosamine <=> UMP + UDP-N-acetyl-6-(alpha-D-galactose-1-phospho)-alpha-D-glucosamine
Other DBs
RHEA: 22443
LinkDB

DBGET integrated database retrieval system