KEGG   REACTION: R00646
Entry
R00646                      Reaction                               
Definition
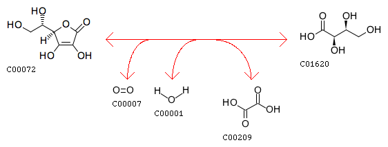
Ascorbate + Oxygen + H2O <=> Threonate + Oxalate
Equation
Comment
enzyme not yet characterized
Reaction class
RC00344  C00072_C00209
RC00345  C00072_C01620
Pathway
rn00053  Ascorbate and aldarate metabolism
rn01100  Metabolic pathways
LinkDB

DBGET integrated database retrieval system