| Entry |
|
| Name |
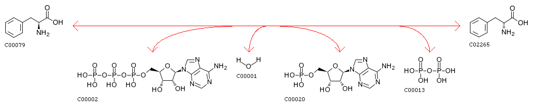
L-phenylalanine racemase (ATP-hydrolysing)
|
| Definition |
ATP + L-Phenylalanine + H2O <=> AMP + Diphosphate + D-Phenylalanine
|
| Equation |
|
|
 |
| Comment |
multi-step reaction (ligating L-phenylalanine and [enzyme]-thiol, epimerizing and thioester-hydrolysing)
|
| Reaction class |
|
| Enzyme |
|
| Pathway |
|
| Brite |
Enzymatic reactions [BR:br08201]
5. Isomerase reactions
5.1 Racemases and epimerases
5.1.1 Acting on amino acids and derivatives
5.1.1.11
R00686 ATP + L-Phenylalanine + H2O <=> AMP + Diphosphate + D-Phenylalanine
|
| Other DBs |
|
| LinkDB |
|