KEGG   REACTION: R00699
Entry
R00699                      Reaction                               
Name
L-phenylalanine carboxy-lyase (phenylethylamine-forming)
Definition
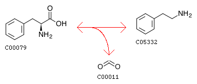
L-Phenylalanine <=> Phenethylamine + CO2
Equation
Reaction class
RC00299  C00079_C05332
Enzyme
4.1.1.28        4.1.1.53
Pathway
rn00360  Phenylalanine metabolism
rn01100  Metabolic pathways
Brite
Enzymatic reactions [BR:br08201]
 4. Lyase reactions
  4.1  Carbon-carbon lyases
   4.1.1  Carboxy-lyases
    4.1.1.28
     R00699  L-Phenylalanine <=> Phenethylamine + CO2
    4.1.1.53
     R00699  L-Phenylalanine <=> Phenethylamine + CO2
Orthology
K01593  aromatic-L-amino-acid/L-tryptophan decarboxylase [EC:4.1.1.28 4.1.1.105]
K22427  phenylalanine decarboxylase [EC:4.1.1.53]
Other DBs
RHEA: 19720
LinkDB

DBGET integrated database retrieval system