| Entry |
|
| Name |
beta-D-fructose-2,6-bisphosphate 2-phosphohydrolase
|
| Definition |
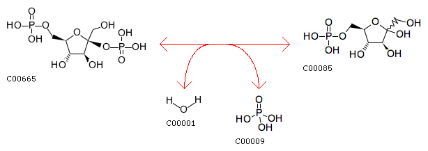
beta-D-Fructose 2,6-bisphosphate + H2O <=> D-Fructose 6-phosphate + Orthophosphate
|
| Equation |
|
|
 |
| Reaction class |
|
| Enzyme |
|
| Pathway |
| rn00051 | Fructose and mannose metabolism |
|
| Brite |
Enzymatic reactions [BR:br08201]
3. Hydrolase reactions
3.1 Acting on ester bonds
3.1.3 Phosphoric-monoester hydrolases
3.1.3.46
R00763 beta-D-Fructose 2,6-bisphosphate + H2O <=> D-Fructose 6-phosphate + Orthophosphate
IUBMB reaction hierarchy [BR:br08202]
3. Hydrolase reactions
3.1.3.46
R00763 D-Fructose 6-phosphate
|
| Orthology |
|
| Other DBs |
|
| LinkDB |
|