KEGG   REACTION: R00832
Entry
R00832                      Reaction                               
Name
succinyl-CoA:L-arginine N2-succinyltransferase
Definition
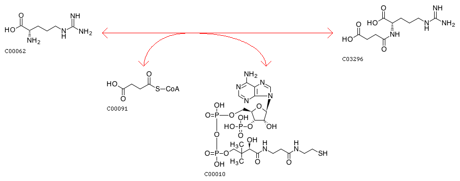
Succinyl-CoA + L-Arginine <=> CoA + N2-Succinyl-L-arginine
Equation
Reaction class
RC00004  C00010_C00091
RC00064  C00062_C03296
Enzyme
Pathway
rn00330  Arginine and proline metabolism
rn01100  Metabolic pathways
Module
M00879  Arginine succinyltransferase pathway, arginine => glutamate
Brite
Enzymatic reactions [BR:br08201]
 2. Transferase reactions
  2.3  Acyltransferases
   2.3.1  Transferring groups other than aminoacyl groups
    2.3.1.109
     R00832  Succinyl-CoA + L-Arginine <=> CoA + N2-Succinyl-L-arginine
Orthology
K00673  arginine N-succinyltransferase [EC:2.3.1.109]
Other DBs
RHEA: 15188
LinkDB

DBGET integrated database retrieval system