| Entry |
|
| Name |
propanoate:CoA ligase (ADP-forming)
|
| Definition |
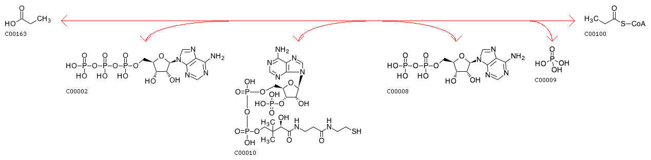
ATP + Propanoate + CoA <=> ADP + Orthophosphate + Propanoyl-CoA
|
| Equation |
|
|
 |
| Reaction class |
|
| Enzyme |
|
| Pathway |
|
| Brite |
Enzymatic reactions [BR:br08201]
6. Ligase reactions
6.2 Forming carbon-sulfur bonds
6.2.1 Acid-thiol ligases
6.2.1.13
R00920 ATP + Propanoate + CoA <=> ADP + Orthophosphate + Propanoyl-CoA
|
| Orthology |
|
| Other DBs |
|
| LinkDB |
|