KEGG   REACTION: R01006
Entry
R01006                      Reaction                               
Name
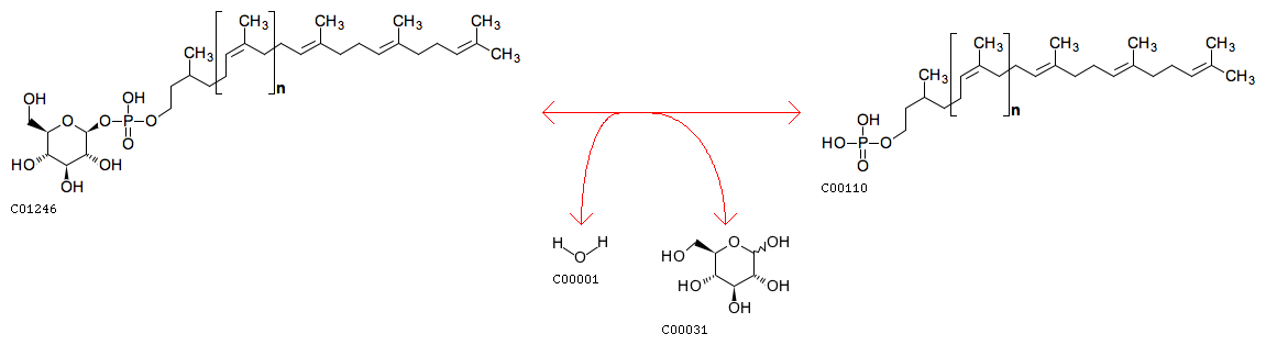
dolichyl-beta-D-glucosyl-phosphate dolichylphosphohydrolase
Definition
Dolichyl beta-D-glucosyl phosphate + H2O <=> Dolichyl phosphate + D-Glucose
Equation
Reaction class
RC00005  C00110_C01246
RC00078  C00031_C01246
Enzyme
Pathway
rn00510  N-Glycan biosynthesis
rn01100  Metabolic pathways
Brite
Enzymatic reactions [BR:br08201]
 3. Hydrolase reactions
  3.1  Acting on ester bonds
   3.1.4  Phosphoric-diester hydrolases
    3.1.4.48
     R01006  Dolichyl beta-D-glucosyl phosphate + H2O <=> Dolichyl phosphate + D-Glucose
Other DBs
RHEA: 13860
LinkDB

DBGET integrated database retrieval system