KEGG   REACTION: R01052
Entry
R01052                      Reaction                               
Name
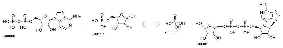
ADP:D-ribose-5-phosphate adenylyltransferase
Definition
ADP + D-Ribose 5-phosphate <=> Orthophosphate + ADP-ribose
Equation
Reaction class
RC00002  C00117_C00301
Enzyme
Brite
Enzymatic reactions [BR:br08201]
 2. Transferase reactions
  2.7  Transferring phosphorus-containing groups
   2.7.7  Nucleotidyltransferases
    2.7.7.35
     R01052  ADP + D-Ribose 5-phosphate <=> Orthophosphate + ADP-ribose
Other DBs
RHEA: 14532
LinkDB

DBGET integrated database retrieval system